Numerical Quantum Mechanics Techniques, Gary Wysin
Kansas State University
Various Notes
- Classical Importance Sampling,
-
Introduction,
Detailed Balance,
Transition Probabilities.
- Classical Canonical Ensemble MC,
-
Brief Summary.
- Classical Micro-Canonical Ensemble MC,
-
Introduction of a Demon,
Brief Summary.
- Quantum Monte Carlo,
-
Introduction,
Variational QMC-1,
2,
3,
Biased Random Walks-1,
2,
Walk Simulation-1,
2,
3.
- Handscomb Method for Statistical Mechanics,
-
Introduction and References,
Spin-1/2 Heisenberg (Lyklema),
Traces and Clusters,
Expectation Values,
Transition Probabilites,
Spin-1/2 XY (Chakravarty and Stein),
Eliminate Alternating signs (Lee et al.),
Allowed/Disallowed Graphs.
- Takahashi: MC Calculation of Elementary Excitations of Spin Chains,
-
1,
2,
3,
4.
- Notes on Takahashi paper,
-
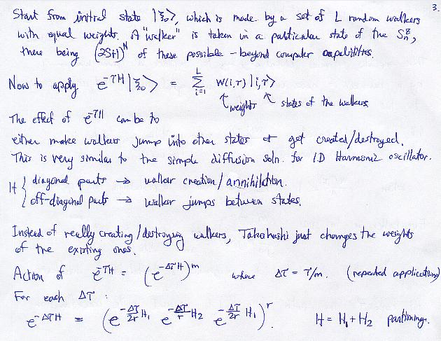
Introduction to Projector MC,
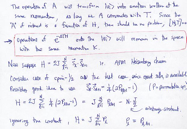
Apply to Heisenberg AFM Chain,
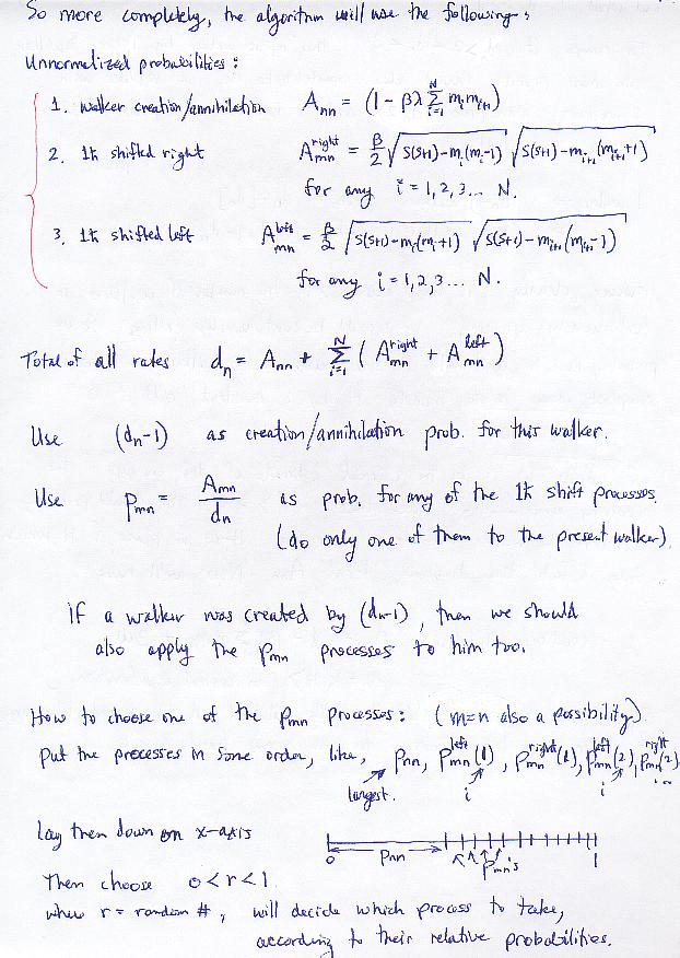
Introduction of Random Walkers,
Process Probabilities,
Reconfiguration of Walkers,
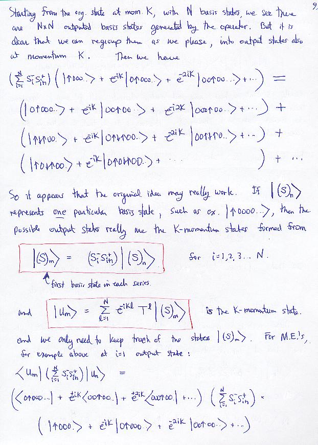
- My Ideas on How to Enforce A Desired Momentum,
-
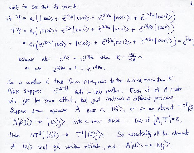
Translation Operator,
Basis States,
Momentum Basis States,
Momentum Basis States as Walkers,
Operators and Translation,
Conservation of Momentum,
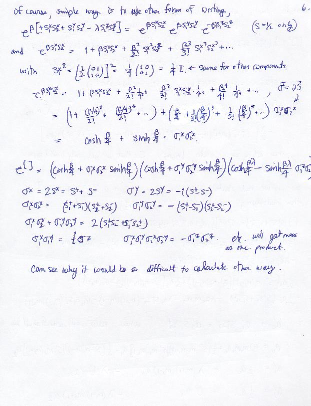
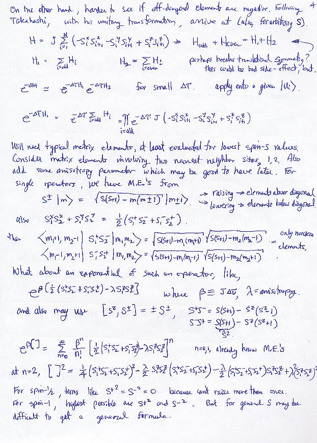
HAF and Spin Operators,
Spin Algebra,
More Spin Algebra,
Transport of Spin Momentum hbar,
Small PMC Steps,
General PMC Processes,
General PMC Output States,
hbar Shift Process Matrix Elements,
Diagonal Process Matrix Elements,
Overview of the PMC Processes,
Overview of the Process Probabilities,
Process Probabilities and Their Choice,
Walker Replacement and Number Conservation,
Spin Sz Conservation and Selection,
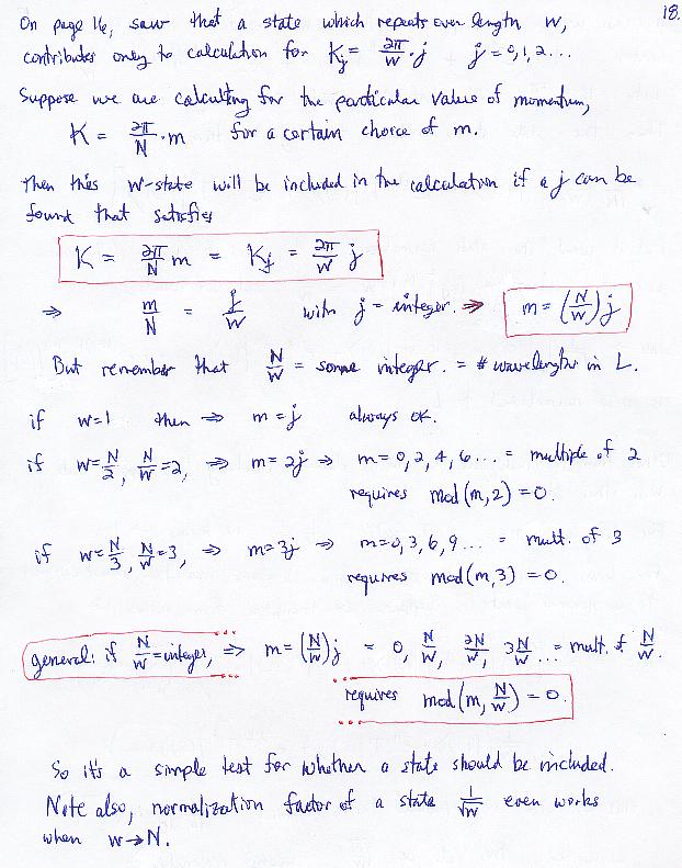
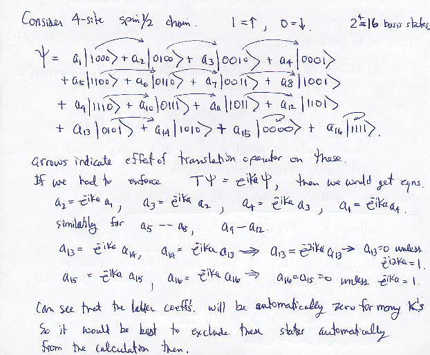
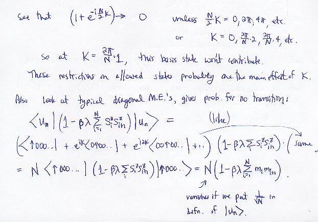
Prohibited States at Given Momentum,
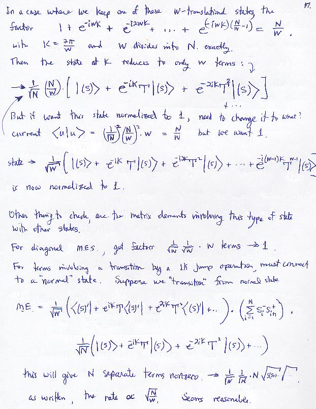
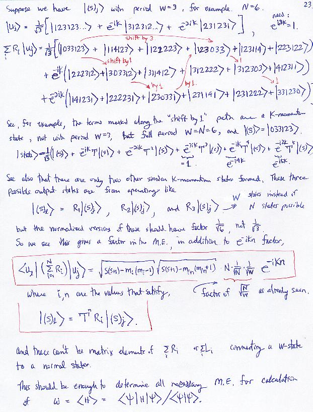
Allowed States with Space Period w smaller than L,
Normalization and Matrix Elements of w-States,
Computer Test for Allowed w-States,
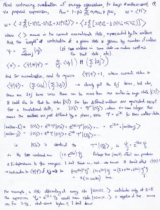
Evaluation of Energy Eigenvalue,
Energy Eigenvalues, Some Needed Matrix Elements,
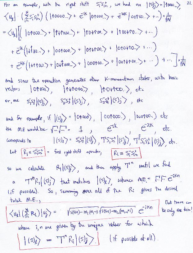
Resulting Rightshift Matrix Elements,
Resulting Leftshift Matrix Elements,
Matrix Elements for the w-States,
Other Links At KSU
access since 99/02/09.
Last update: Sunday January 16 2000.
email to -->
wysin@phys.ksu.edu