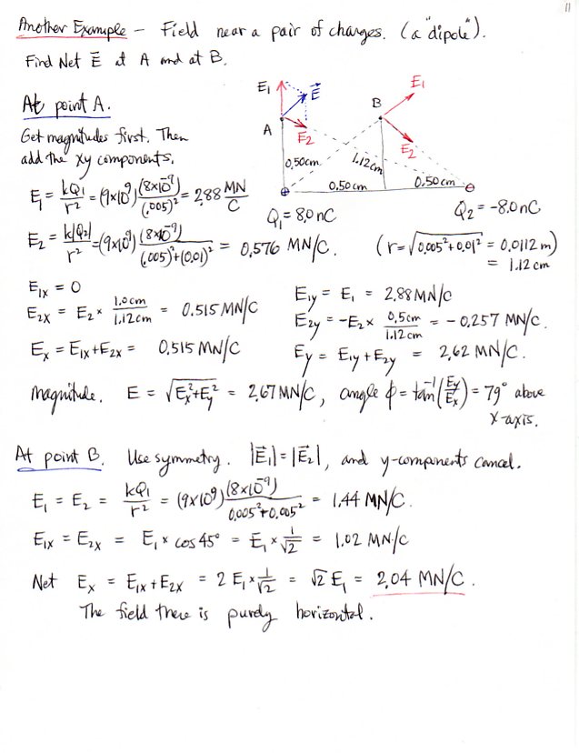
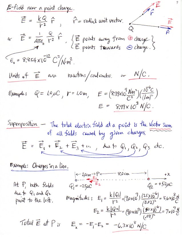
Electric Field and Field Lines