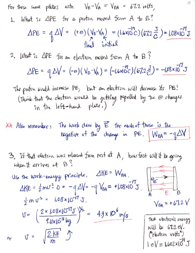
Electric Potential and Potential Energy