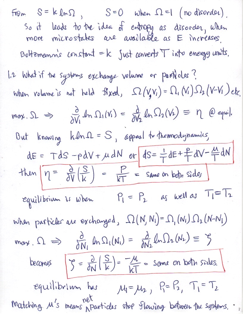
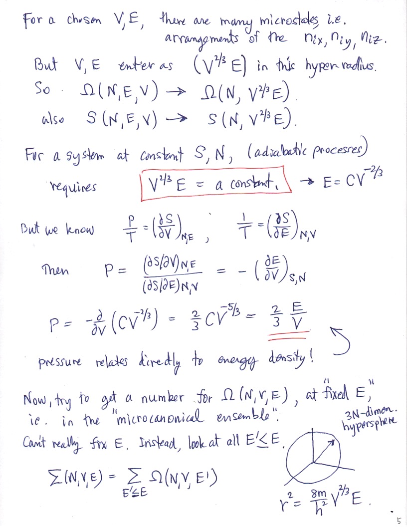
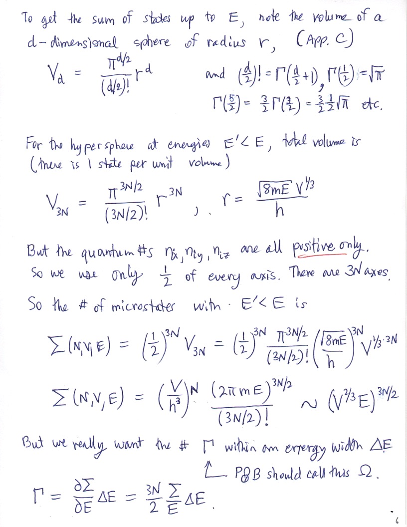
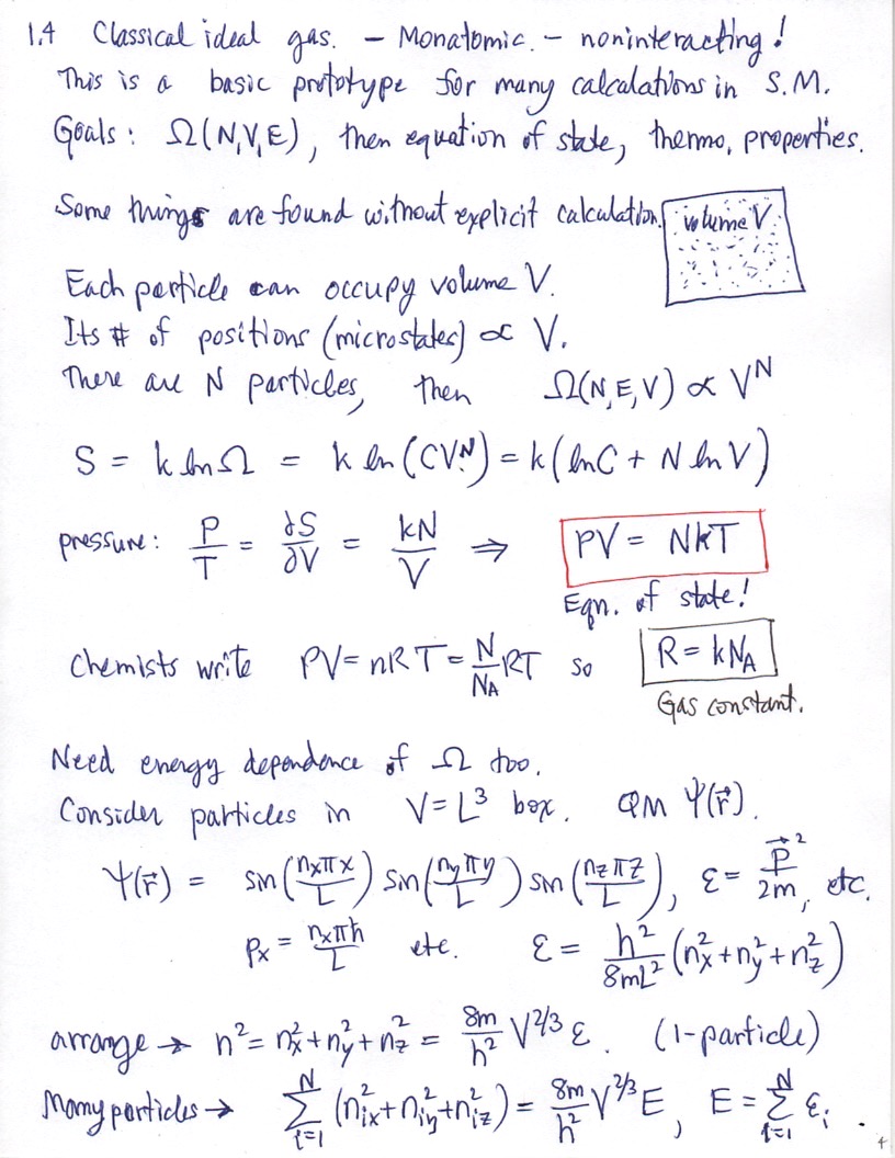
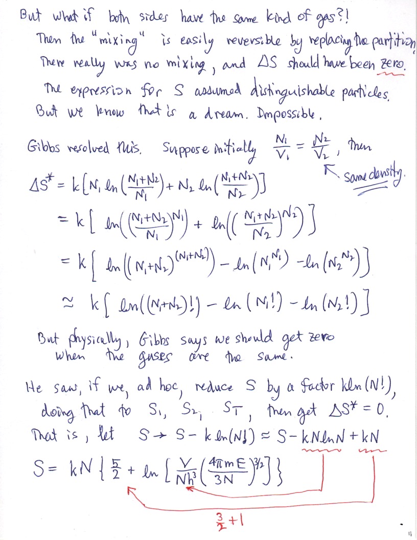
Statistical Basis of Thermo (Pathria & Beale Ch. 1)
How to connect thermodynamics to the statistical approach.