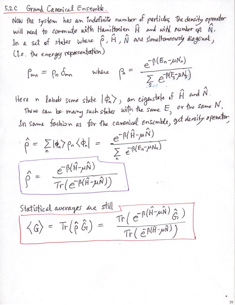
Formulation of QM Statistics (Pathria & Beale Ch. 5)
The basic QM theory for ensembles and density matrix.