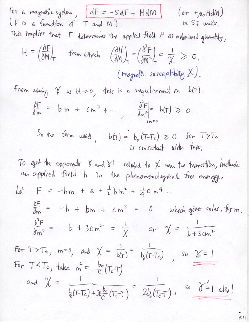
Phase Transitions (Pathria & Beale Ch. 12)
Critical behavior & exponents; Landau theory and fluctuations.