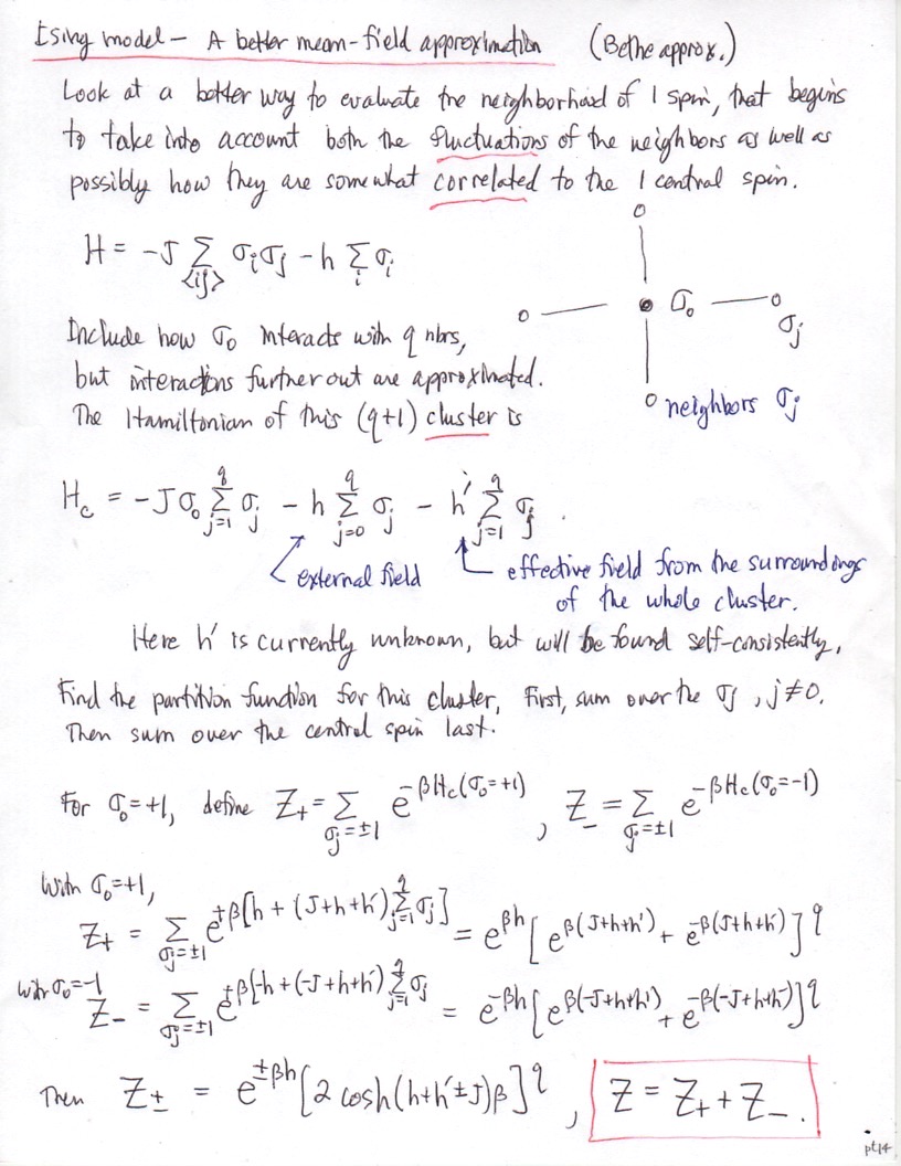
Phase Transitions (Pathria & Beale Ch. 12)
Lattice gas and binary alloys; Ising model in the Bethe approximation.