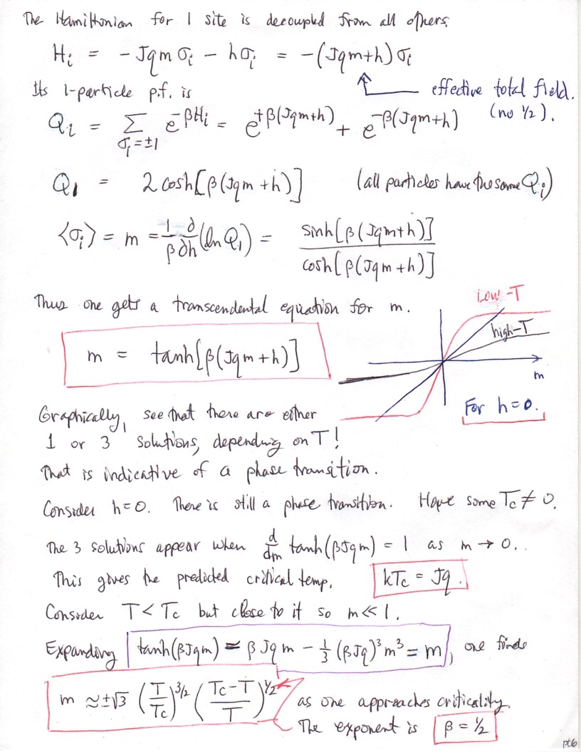
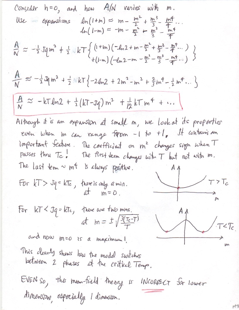
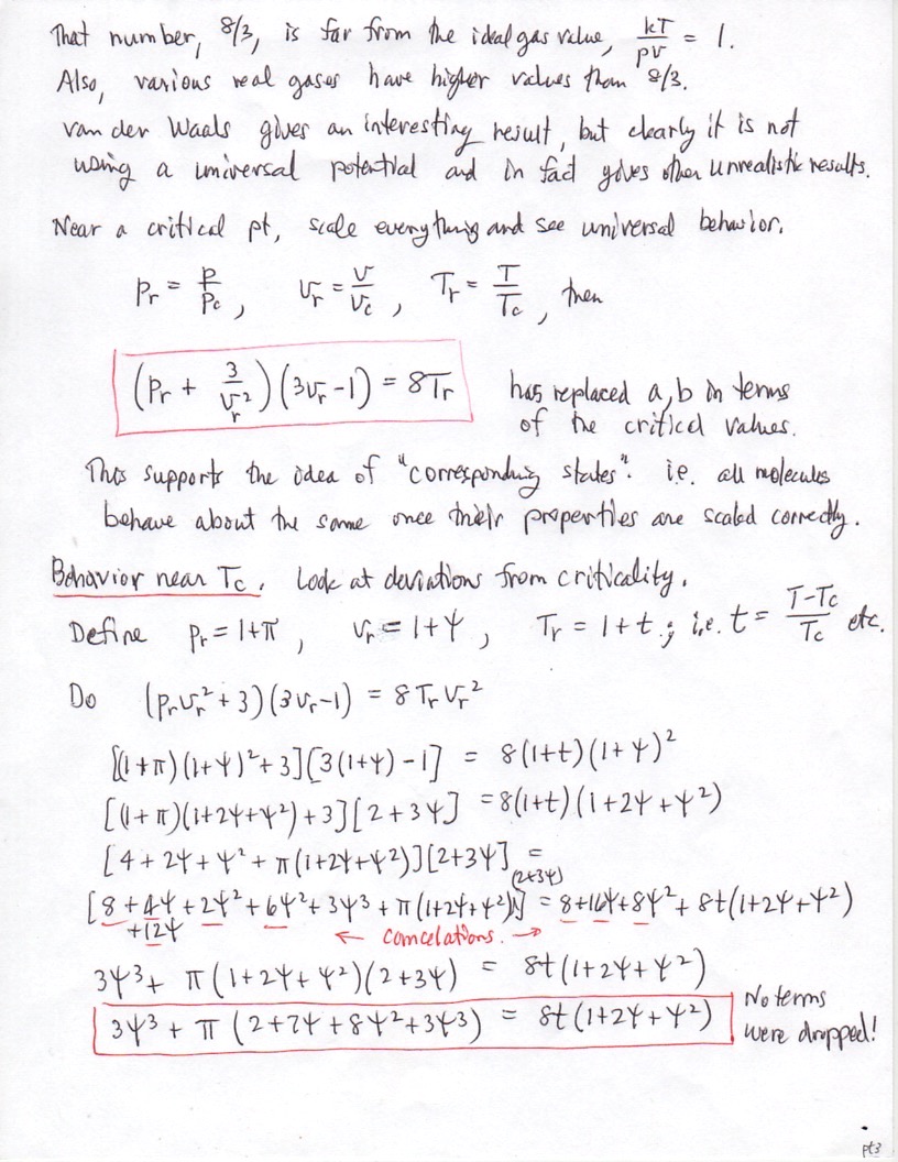
Phase Transitions (Pathria & Beale Ch. 12)
Van der Waals gas, Ising model and mean-field theory (zeroth approximation).