Canonical Ensemble (Pathria & Beale Ch. 3)
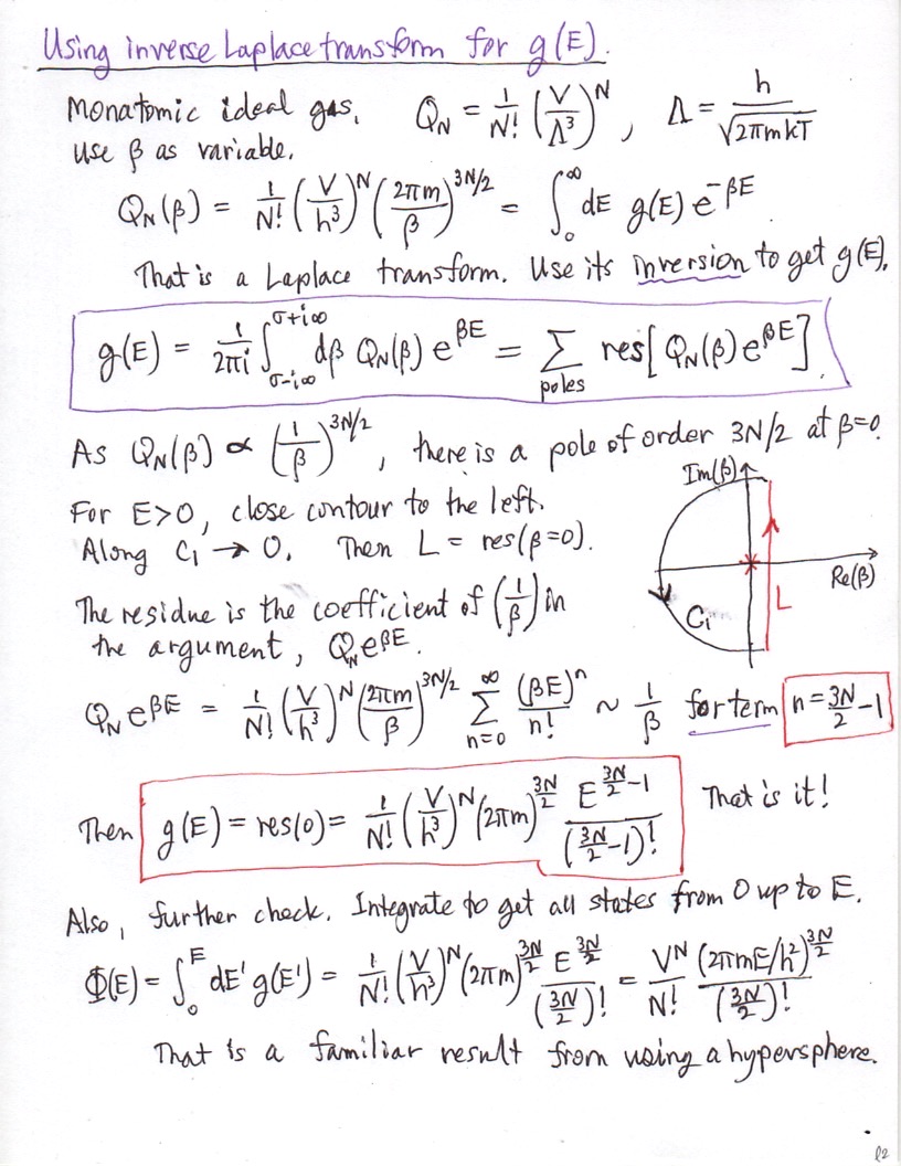
Inverse Laplace transform of Q(β) used to find density of states g(E).