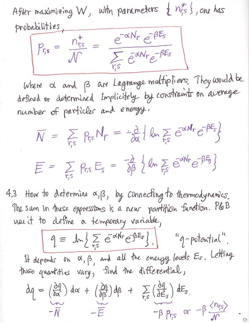
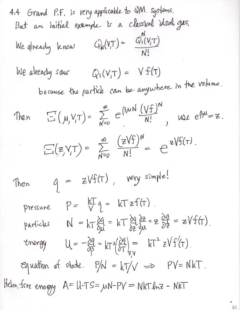
Grand Canonical Ensemble (Pathria & Beale Ch. 4)
Most likely configuration, partition function, probabilities, fluctuations, phases & equilibrium.