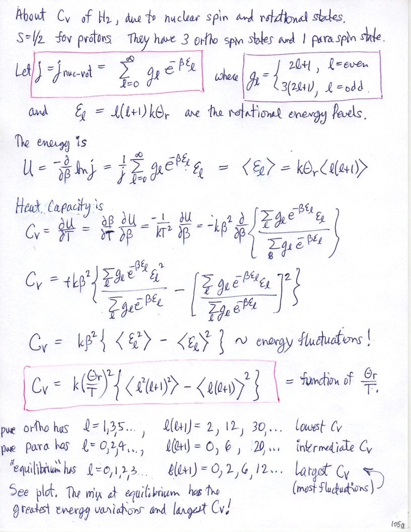
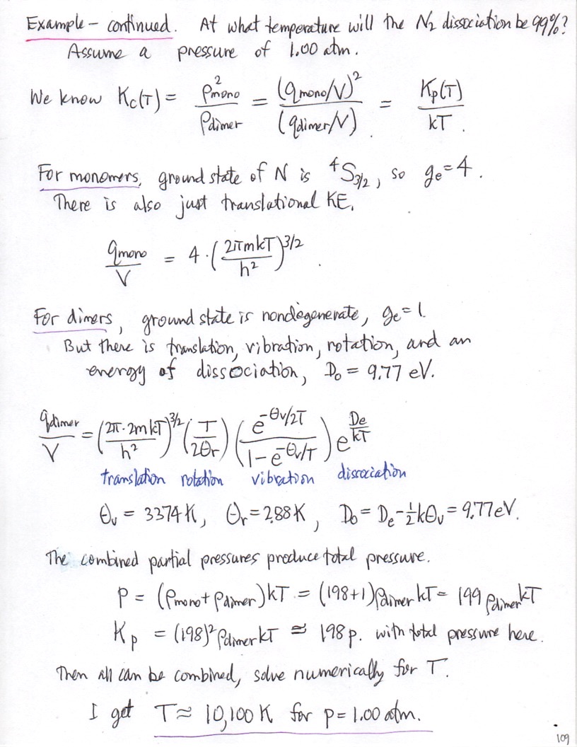
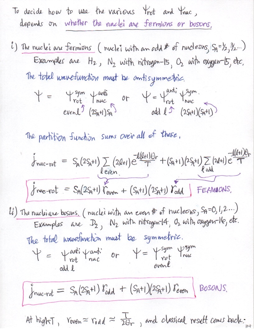
Statistics of Gases (Pathria & Beale Ch. 6)
Gases with internal degrees of freedom; chemical equilibrium.