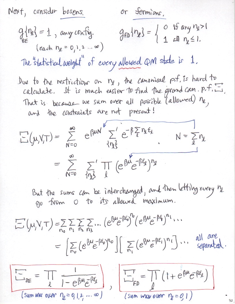
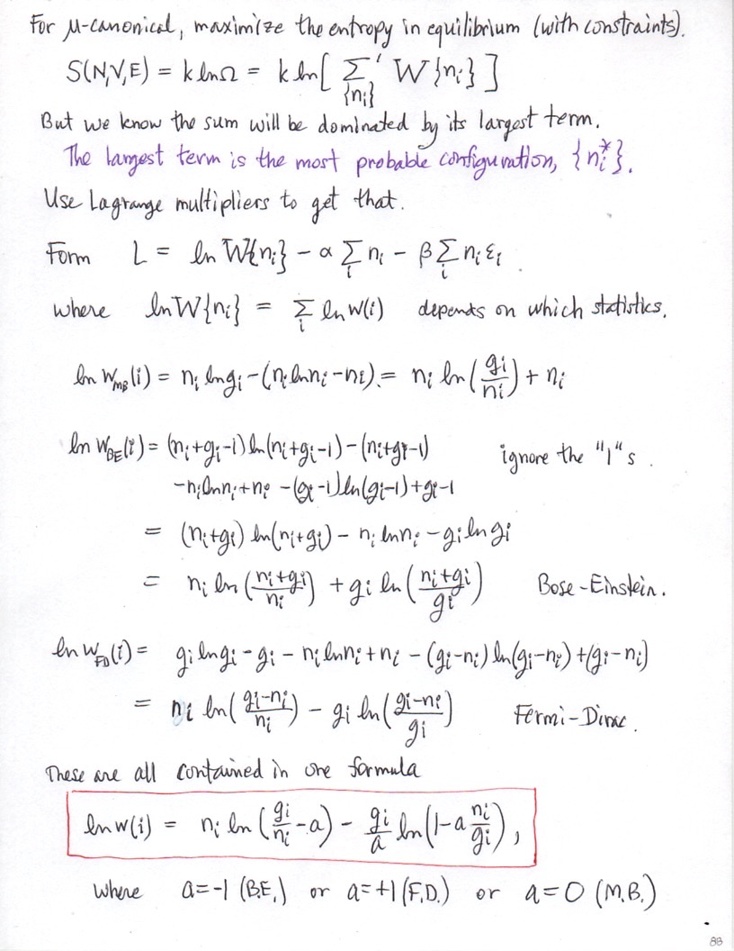
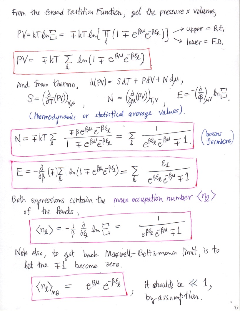
Statistics of Gases (Pathria & Beale Ch. 6)
Statistics for ideal gases & occupation numbers.