Ideal Fermi Gases (Pathria & Beale Ch. 8)
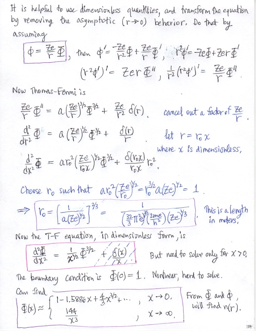
Electron gas in metals; Thomas-Fermi model for heavy atoms.