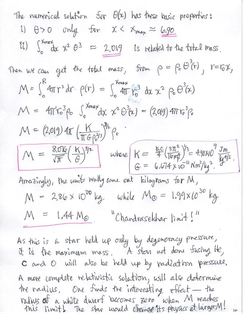
Ideal Fermi Gases (Pathria & Beale Ch. 8)
Stellar thermodynamics in white dwarf stars and Chadrasekhar's limit.