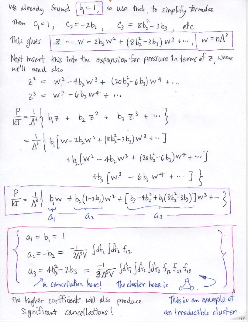
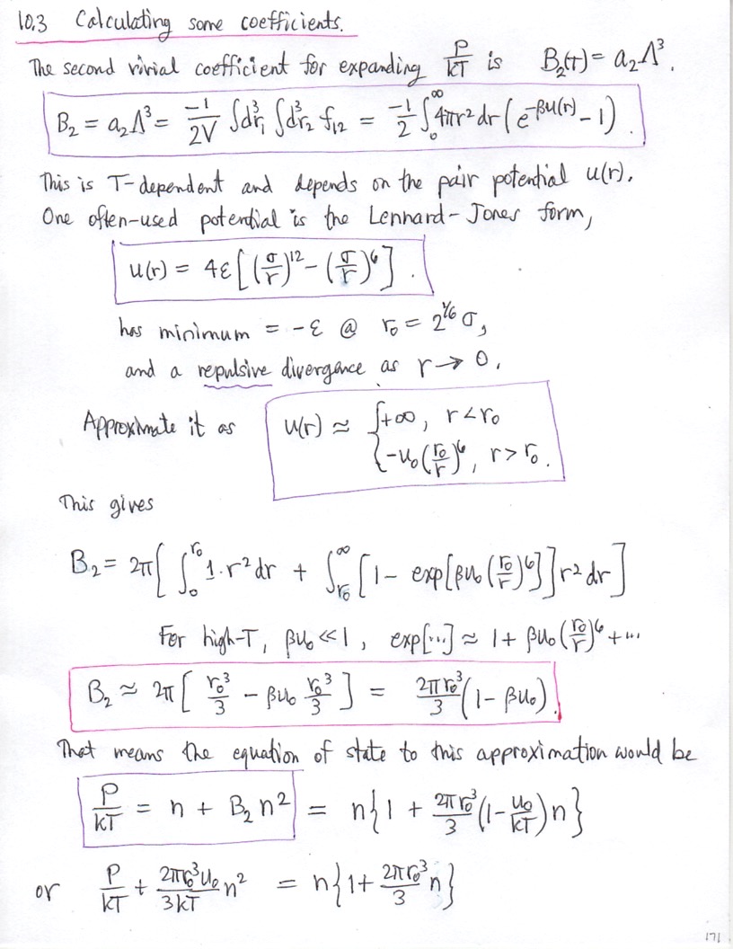
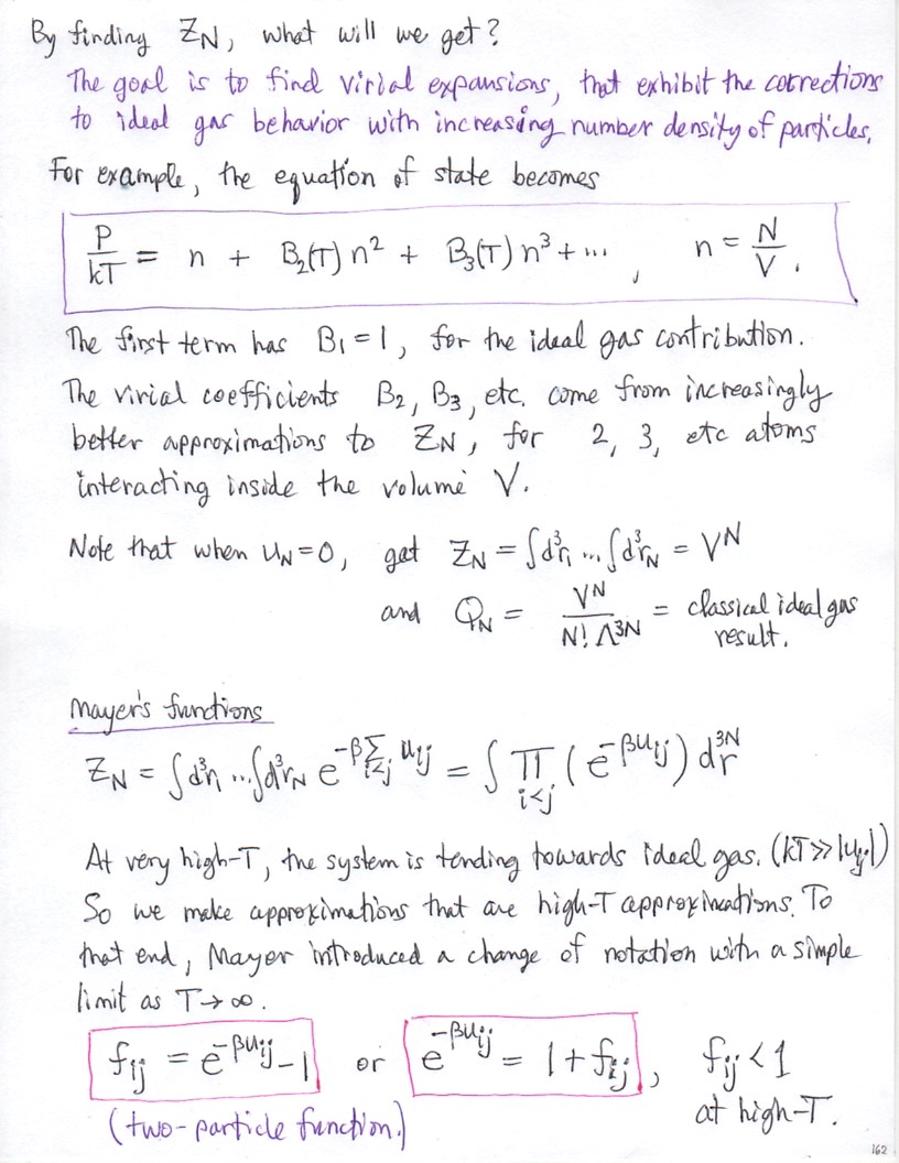
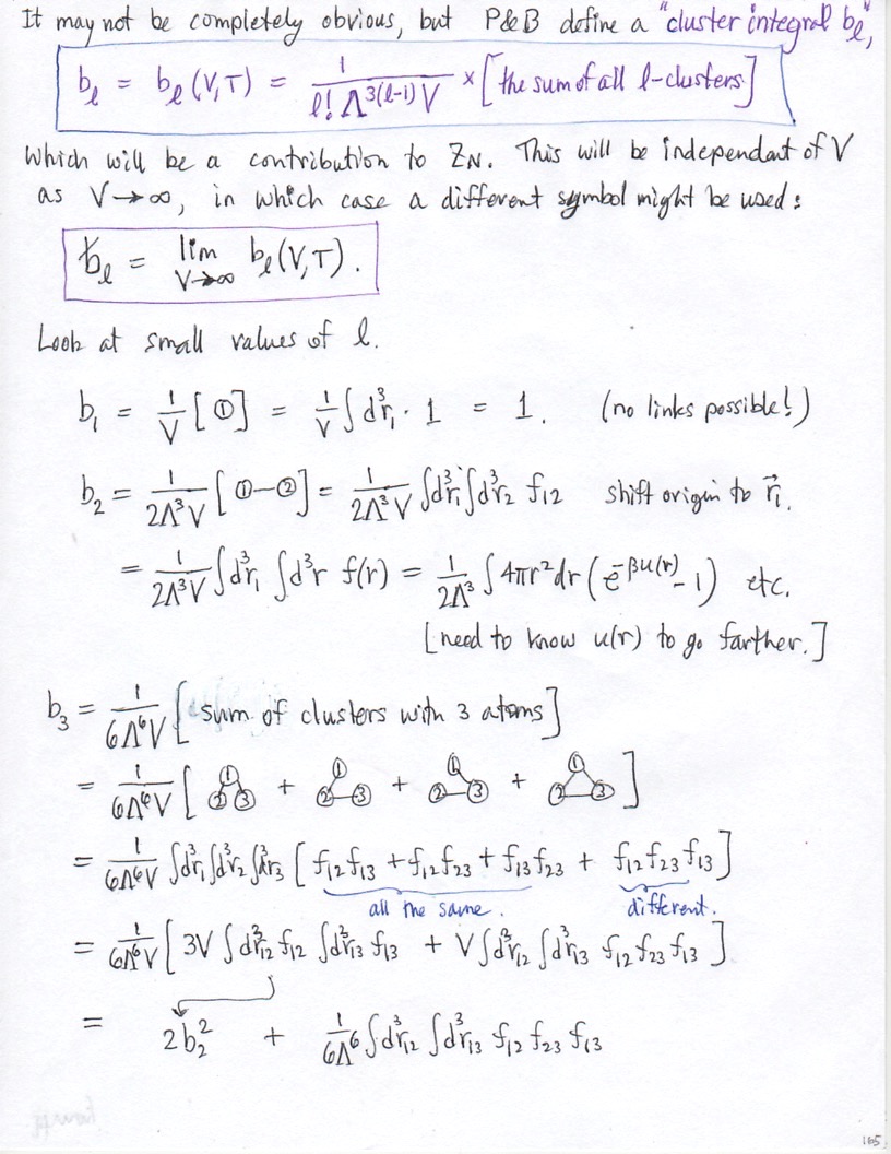
Imperfect gases and interactions (Pathria & Beale Ch. 9)
Statistics of cluster expansions for nonideal gases.