Canonical Ensemble (Pathria & Beale Ch. 3)
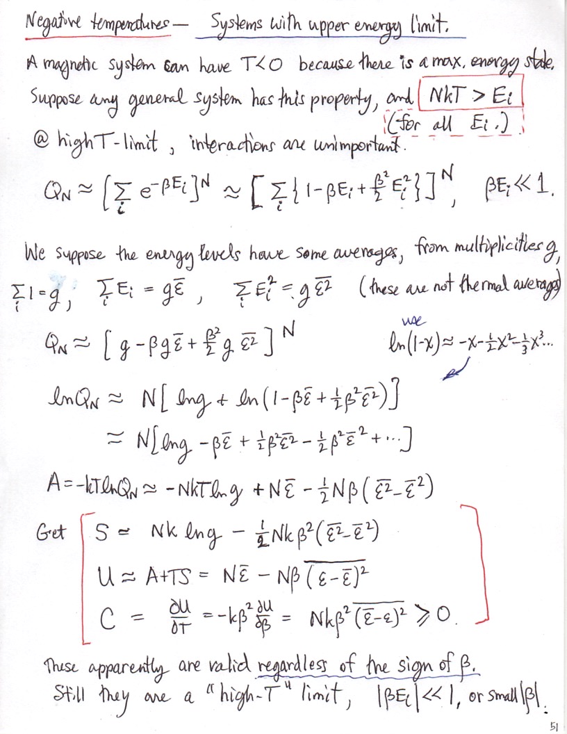
Negative temperatures in magnetic systems.