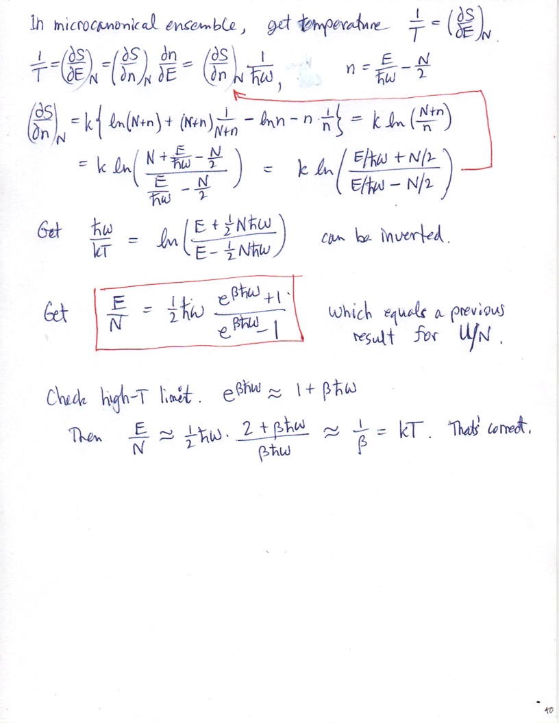
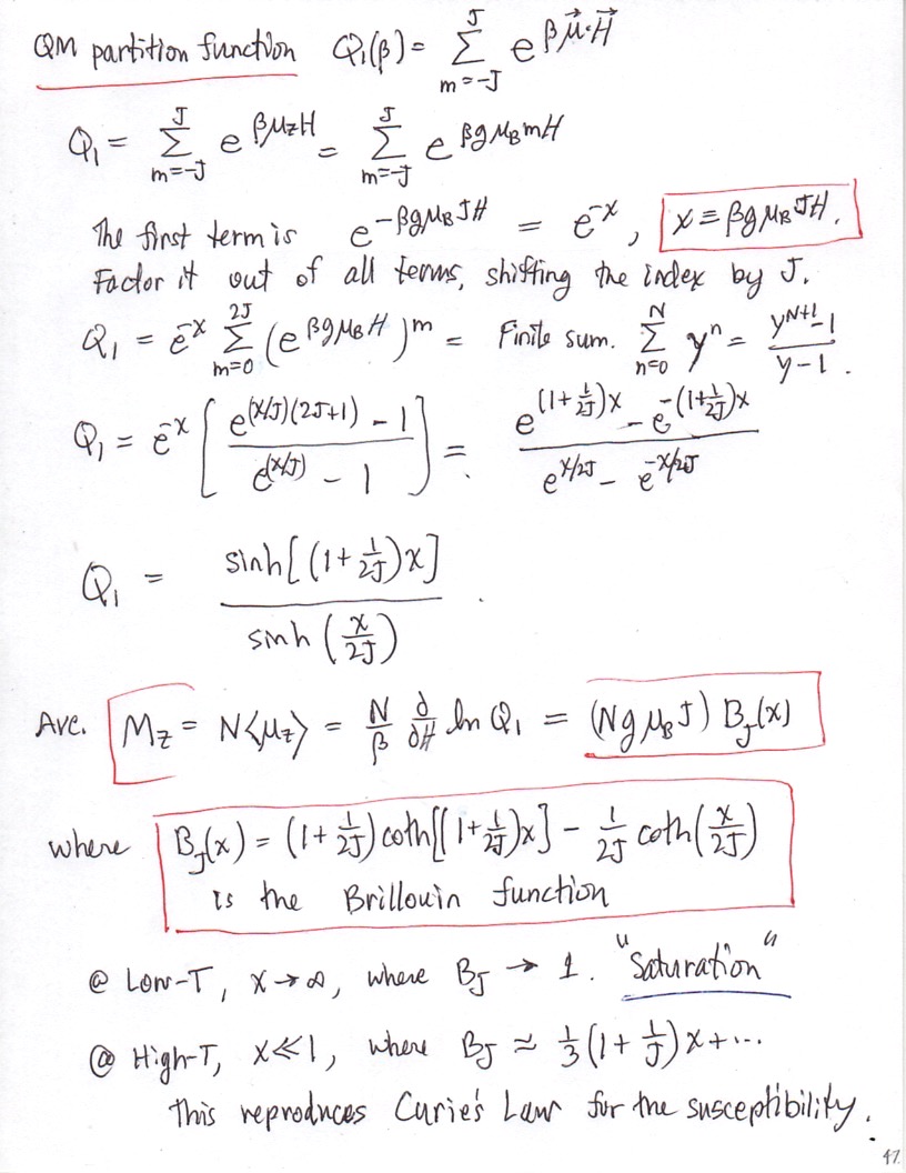
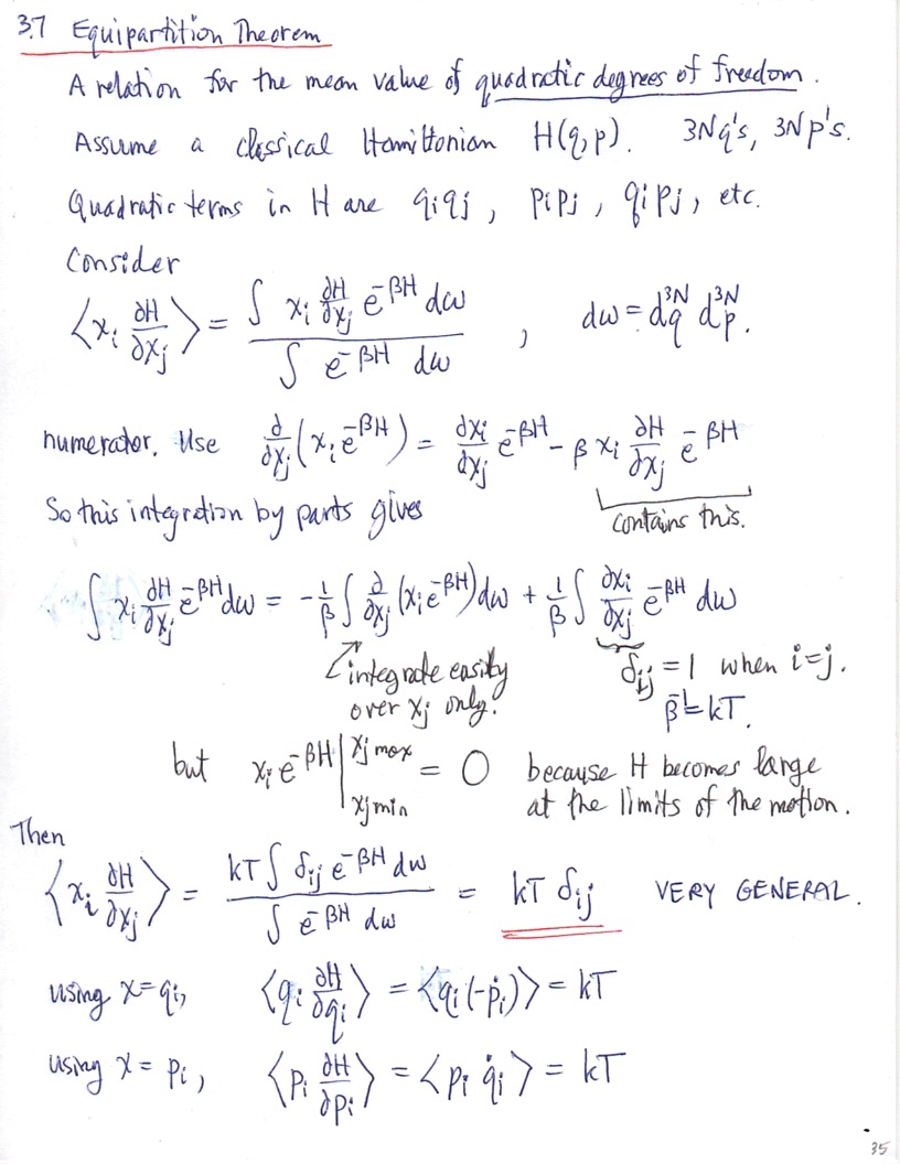
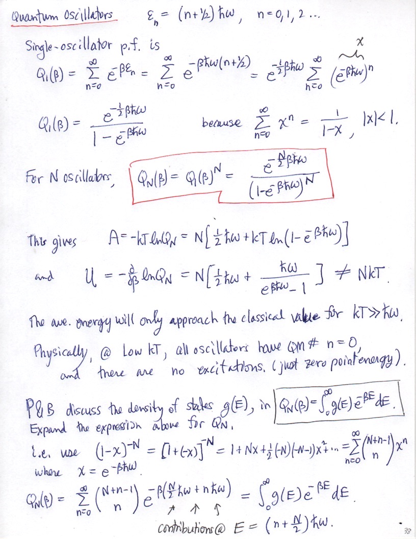
Canonical Ensemble (Pathria & Beale Ch. 3)
Applications: equipartition, oscillators, paramagnetism.