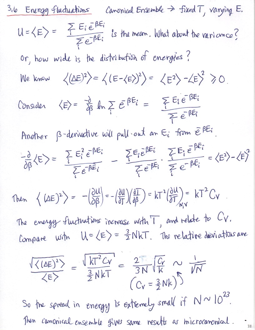
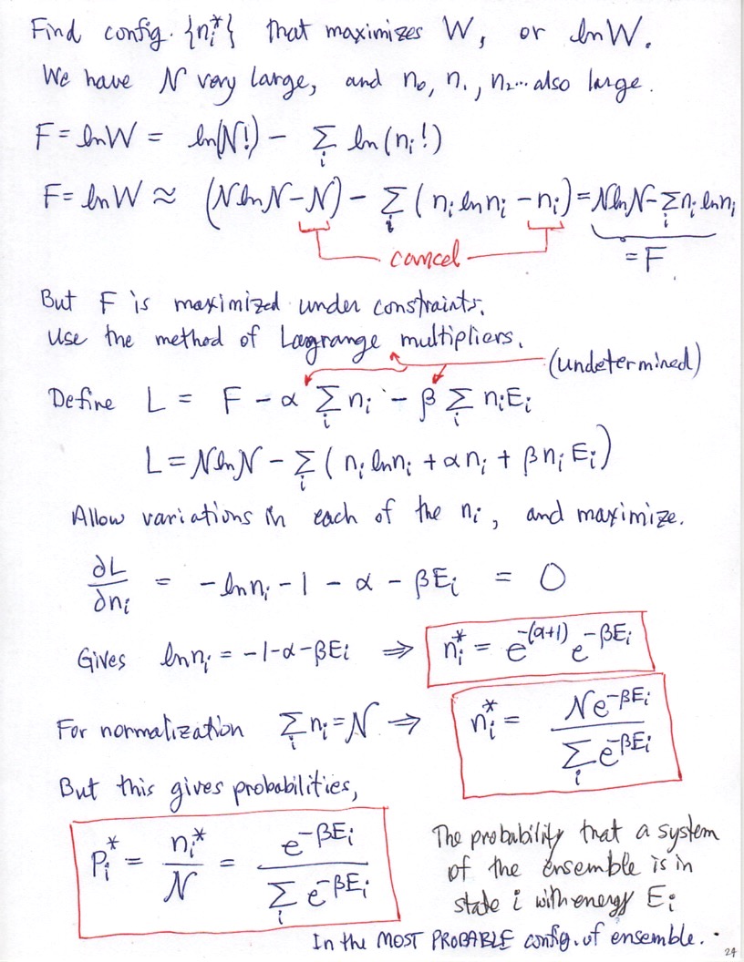
Canonical Ensemble (Pathria & Beale Ch. 3)
Maximum configuration, partition function, probabilities, fluctuations.