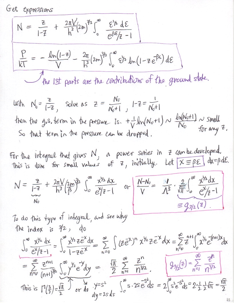
Ideal Bose Gases (Pathria & Beale Ch. 7)
Statistics for ideal Bose gas; Bose-Einstein condensation