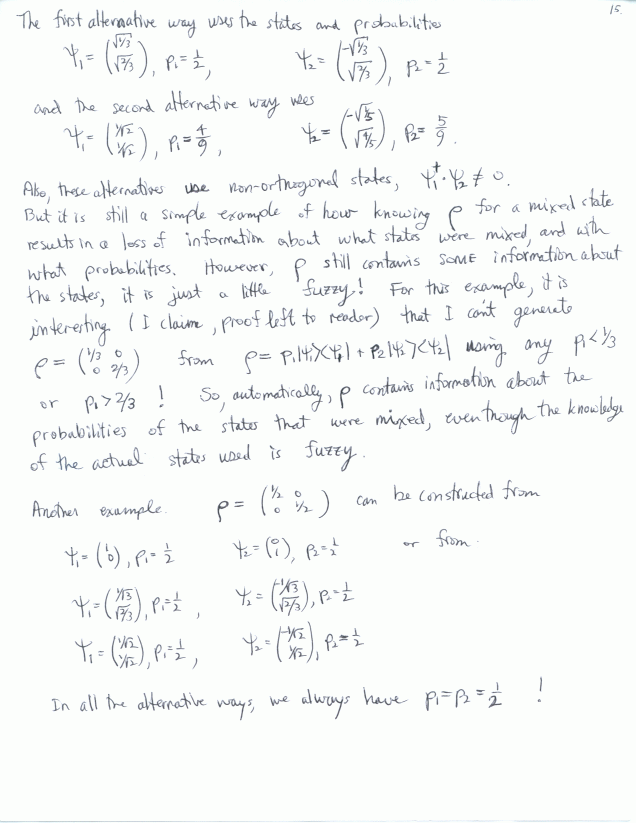
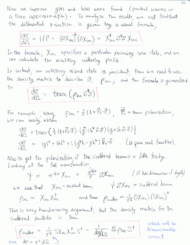
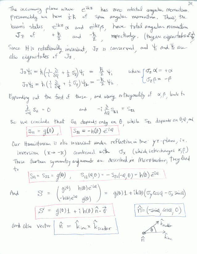
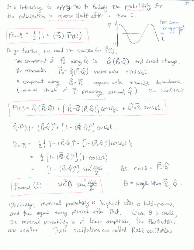
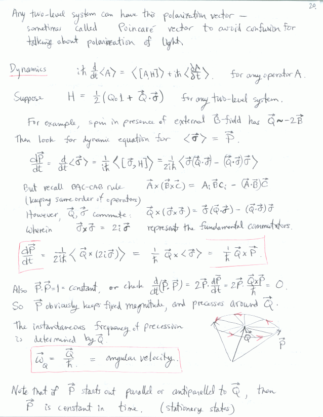
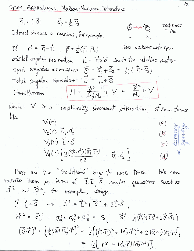
Chapter 13
Theory of Spin (Density Matrix, Polarization, Scattering and Information)
(Merzbacher Ch. 15, 16)