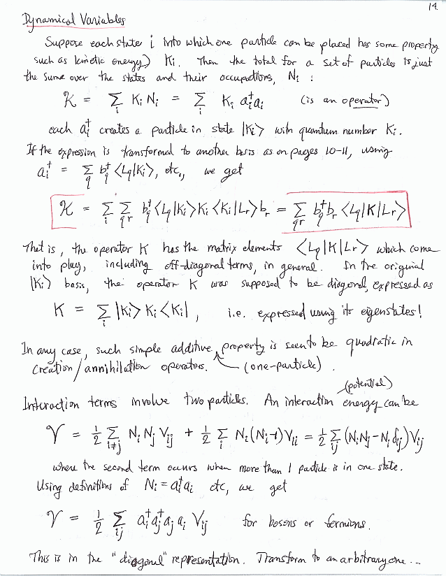
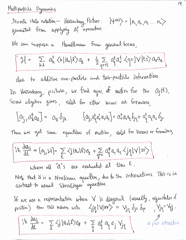
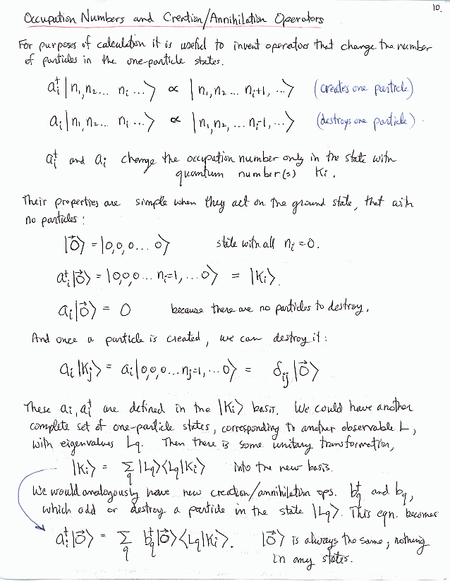
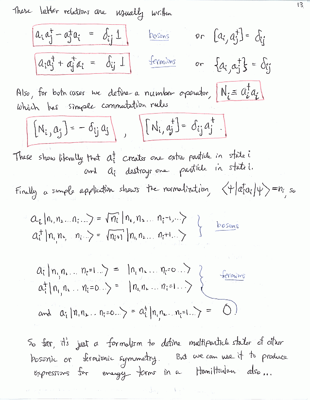
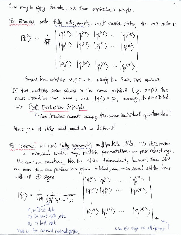
Chapter 21
Quantum Mechanics of Identical Particles
(Merzbacher Ch. 21, Messiah XIV)