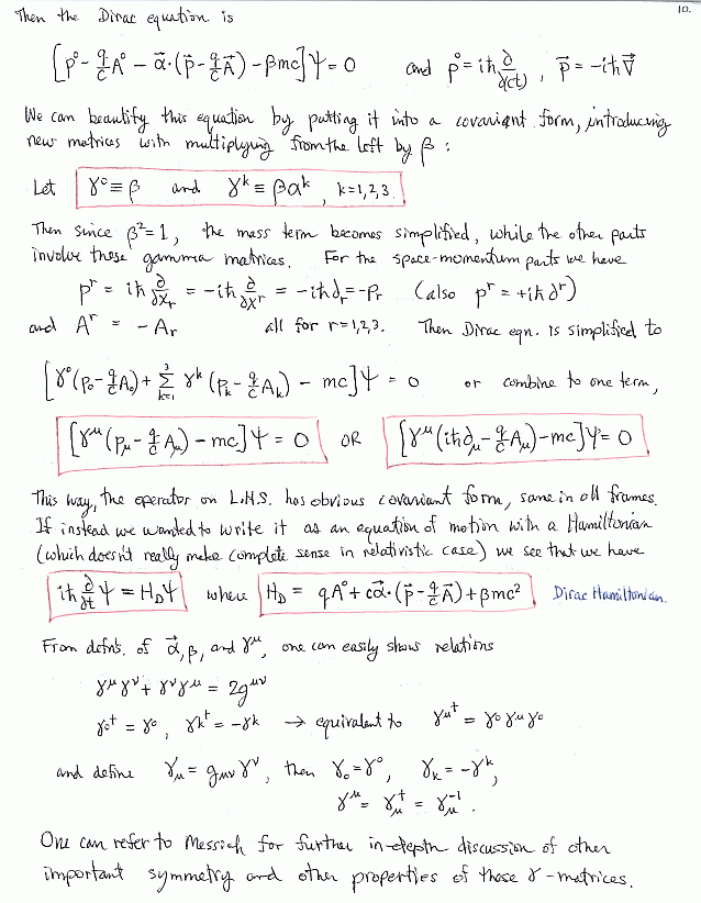
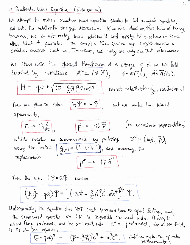
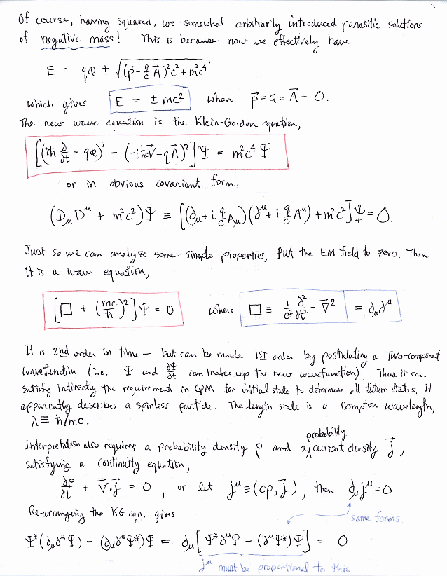
Chapter 24
Relativistic Quantum Mechanics, Electron Theory
(Messiah XX, Merzbacher Ch. 24)


More to come...