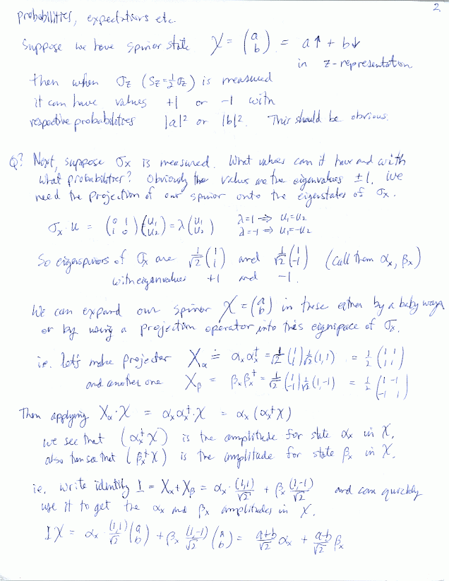
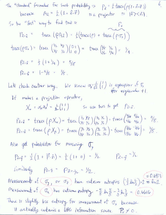
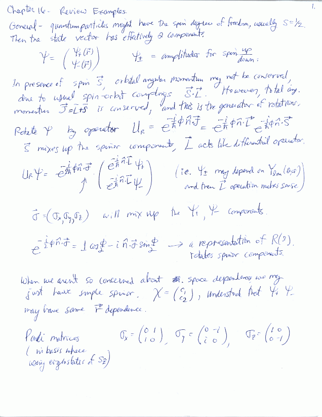
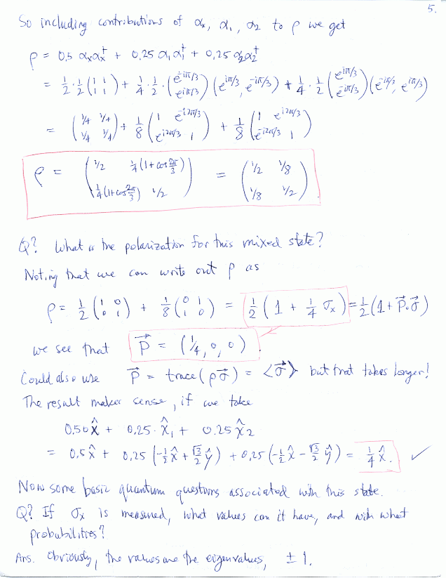
Chapter 15, 16
Theory of Spin (magnetic moments, angular momentum, rotations...)
(density matrix, polarization, scattering and information)
(Merzbacher Ch. 15, 16, Messiah Ch. XIII)