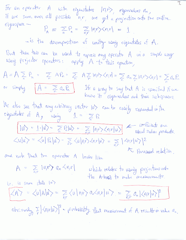
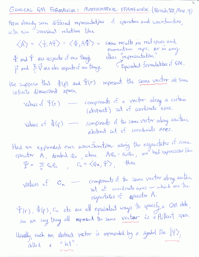
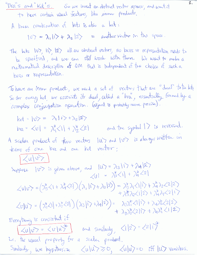
Dirac: General QM Formalism, Mathematical Framework:
Dirac Notation (Merzbacher Ch. 9, Messiah, Ch. VII)