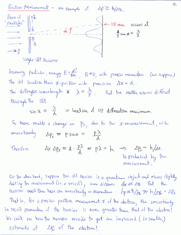
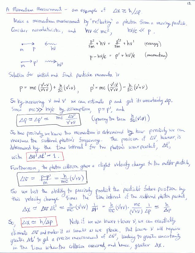
Psi: Interpretation of Psi and Wave-Particle Duality (Messiah, Ch. IV)