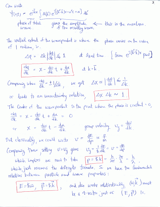
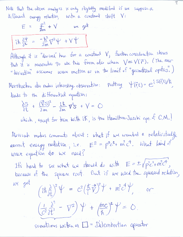
Waves: Development of (Schrodinger) Wave Equations for Quantum Systems
(Messiah, Ch. II)