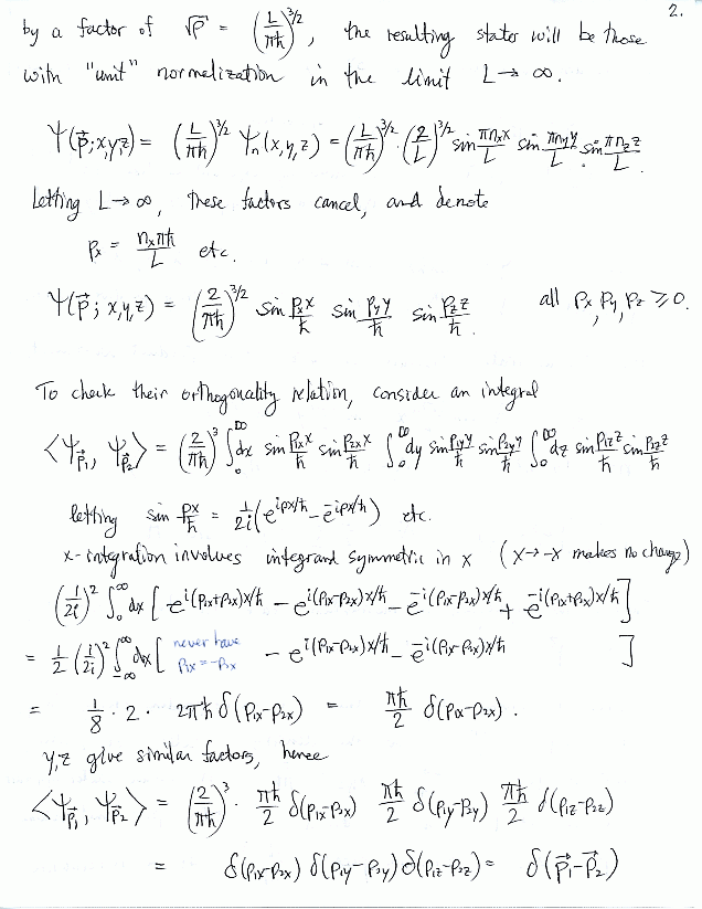
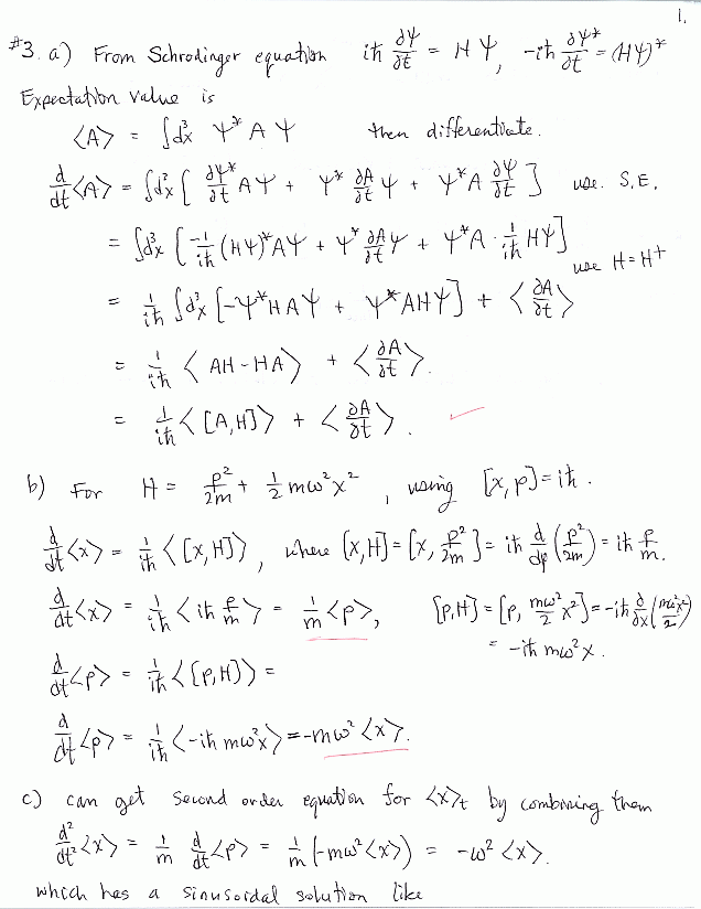
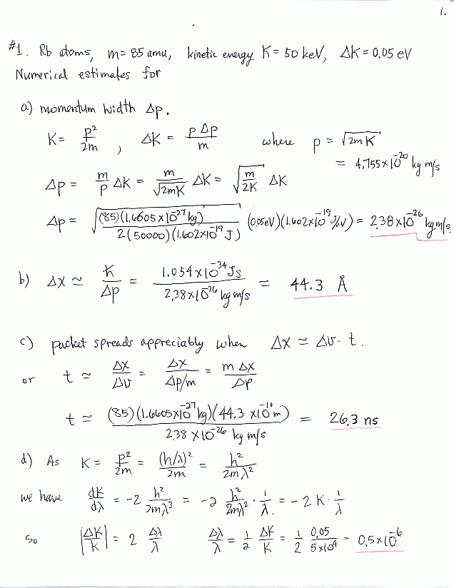
2002 Midterm Exam Solution