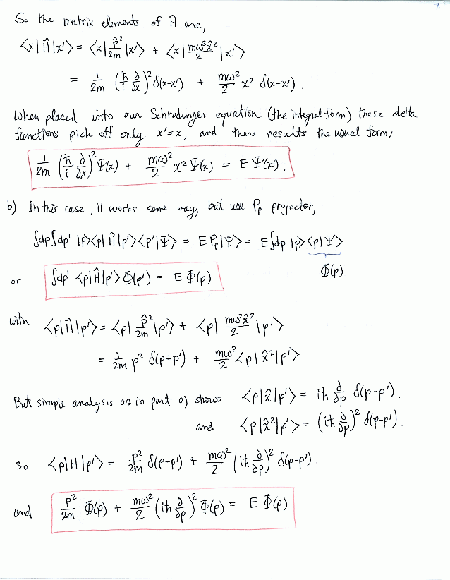
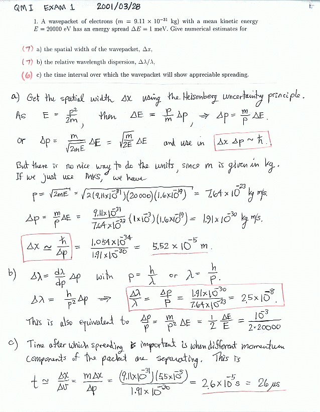
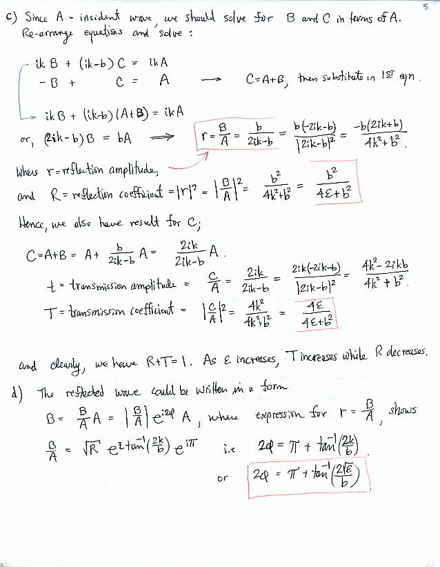
2001 Midterm Exam Solution