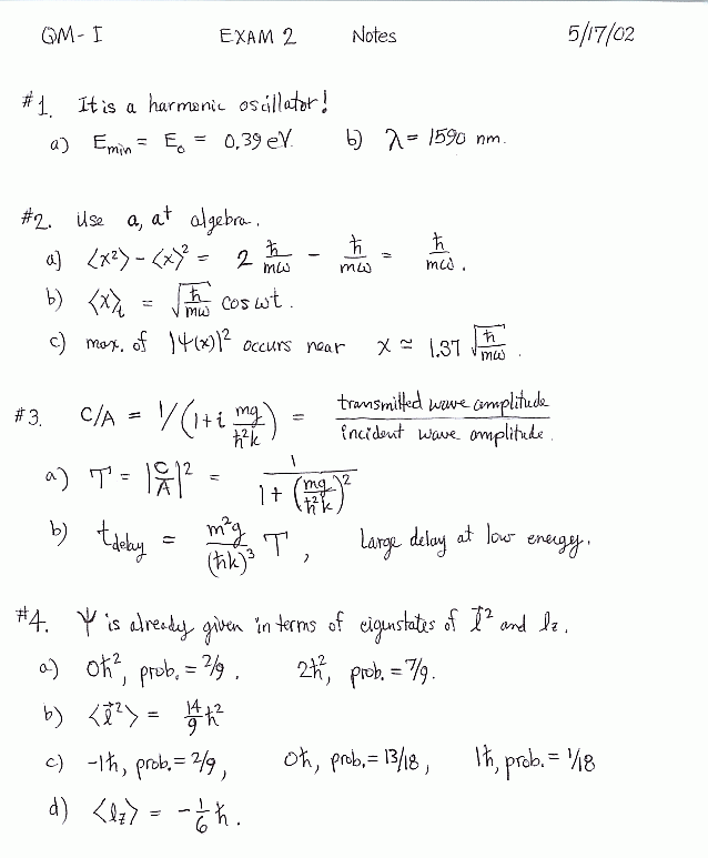
2002 Final Exam Brief Answers