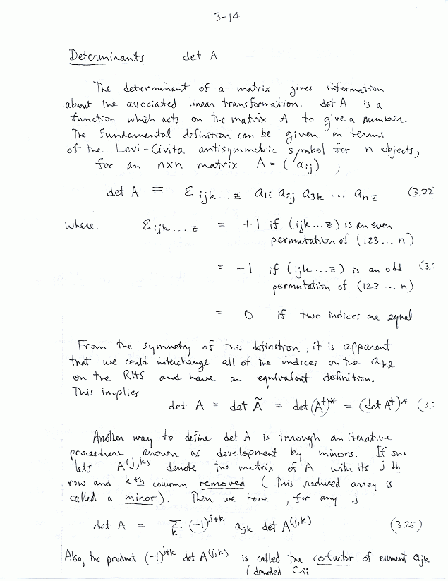
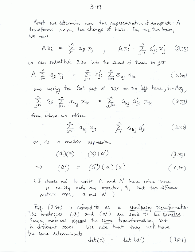
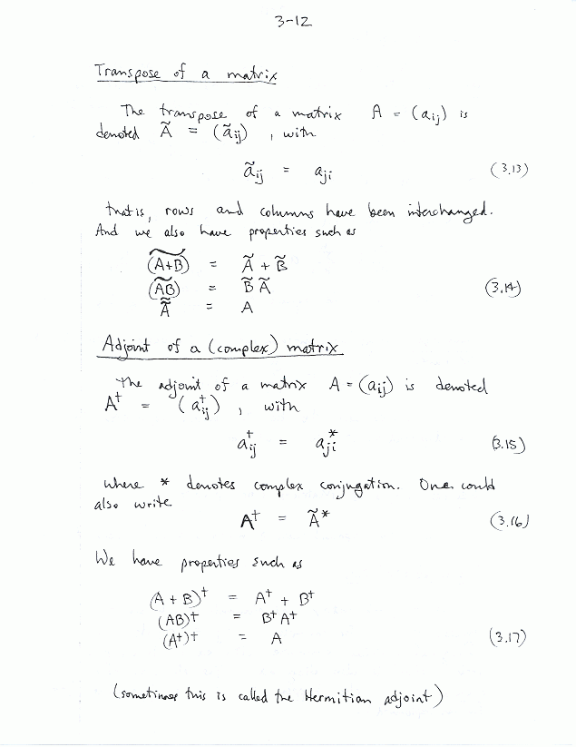
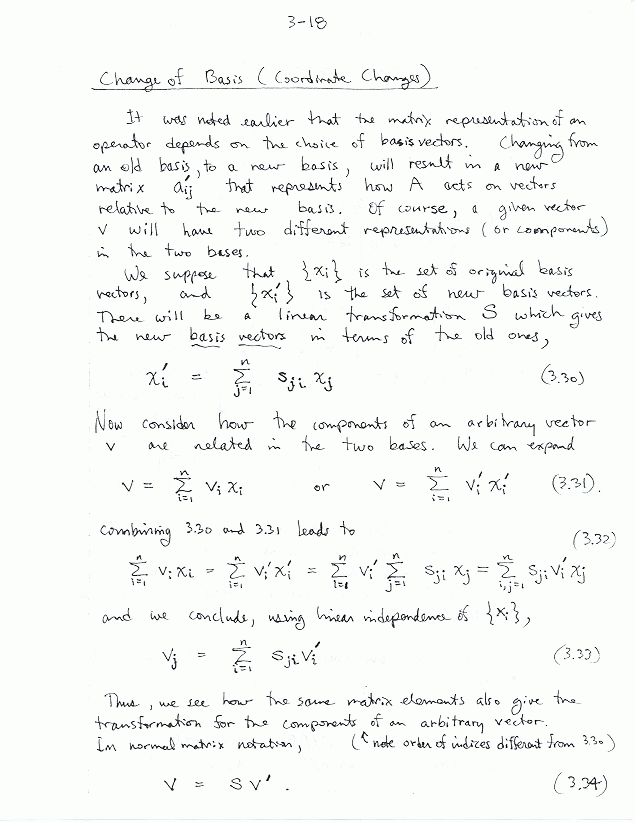
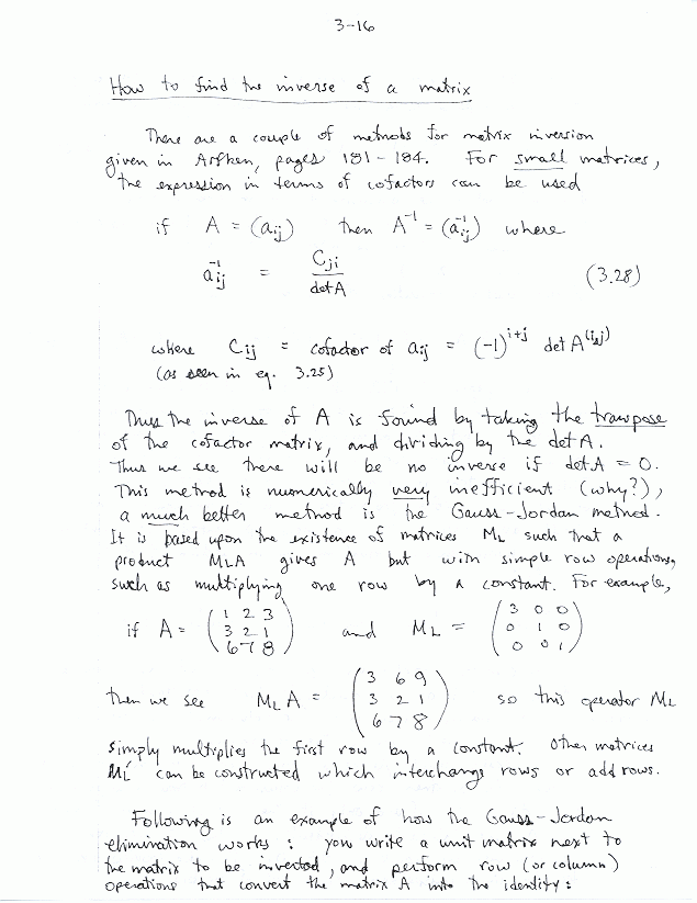
Matrix Propoerties and Operations