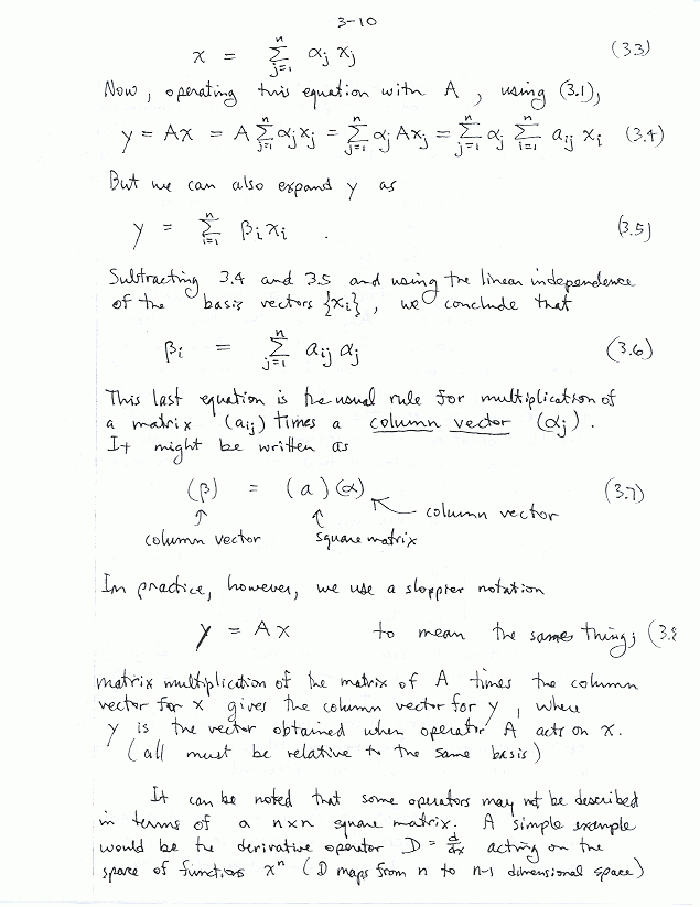
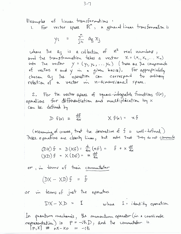
Vector Spaces: Groups, Bases, Operators