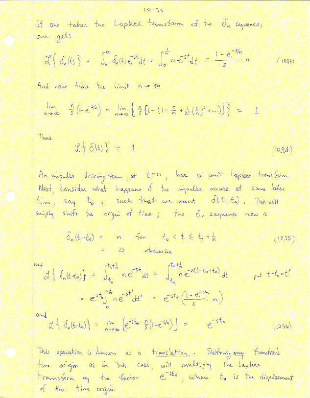
Laplace Transforms: Definition, Inverse, Other Operations