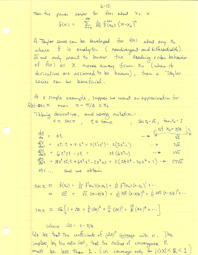
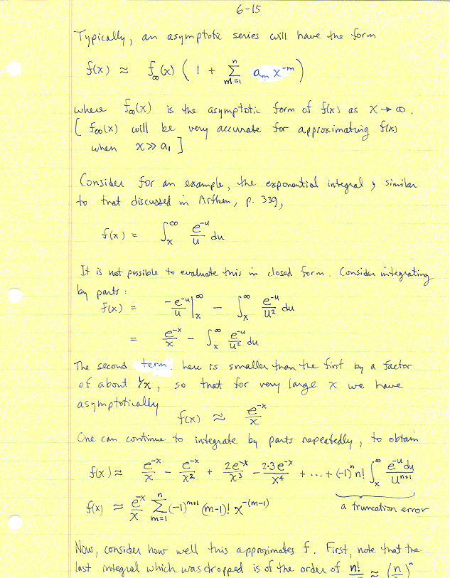
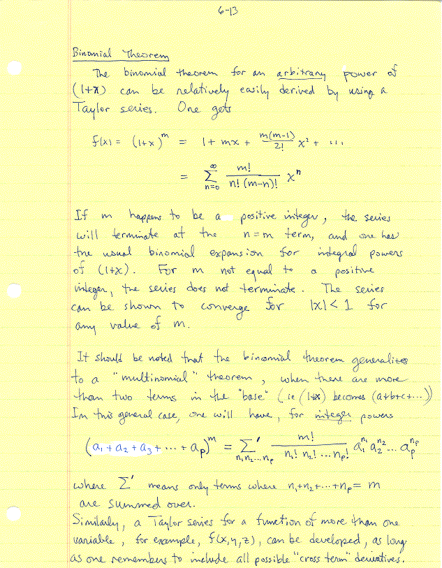
Series of Functions, Power, Taylor, Asymptotic Series, Binomial Theorem