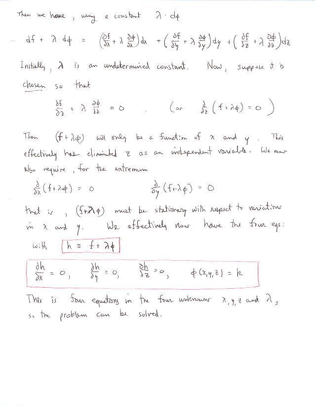
Using Lagrange Multipliers:
Extremum (minimization/maximization) Problems with Constraints