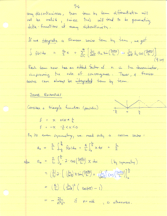
The Expansion, Symmetry, Discontinuities, Discrete Fourier Transform