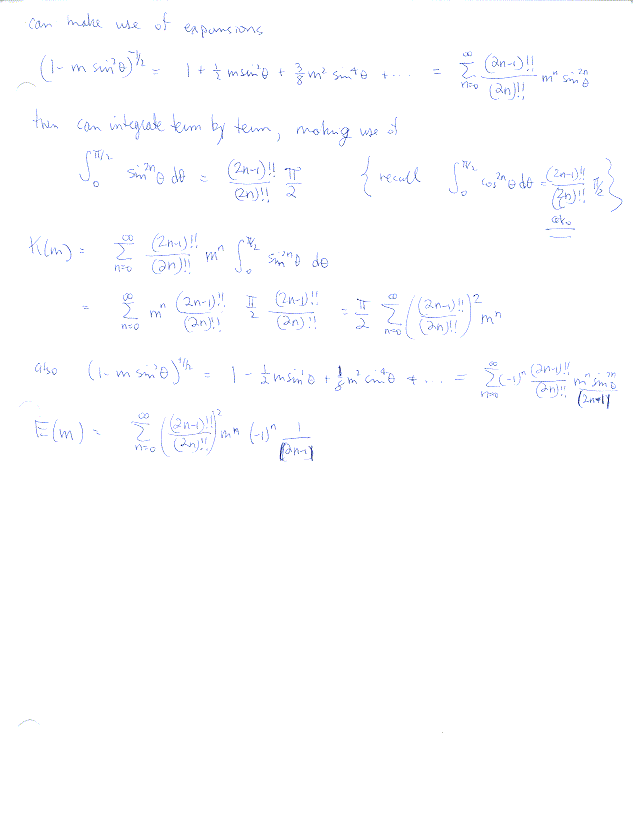
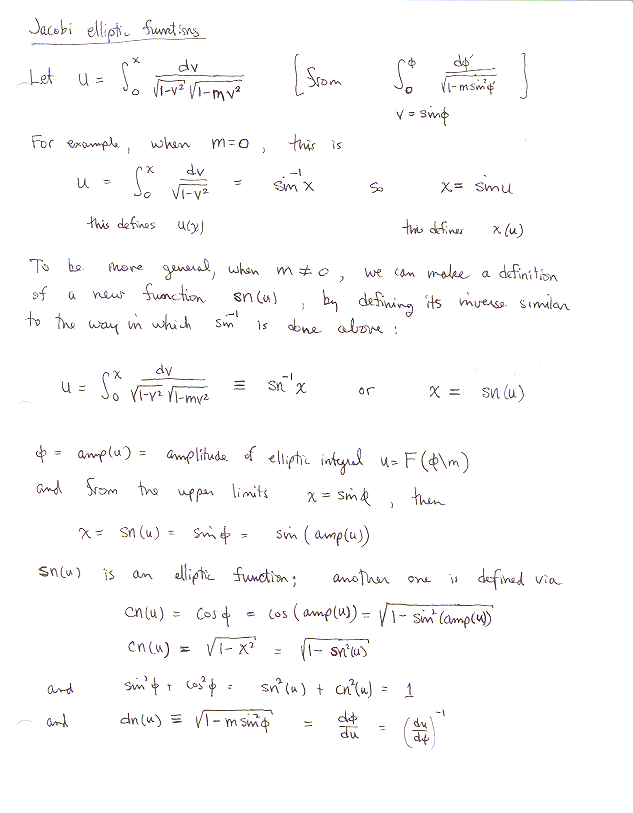
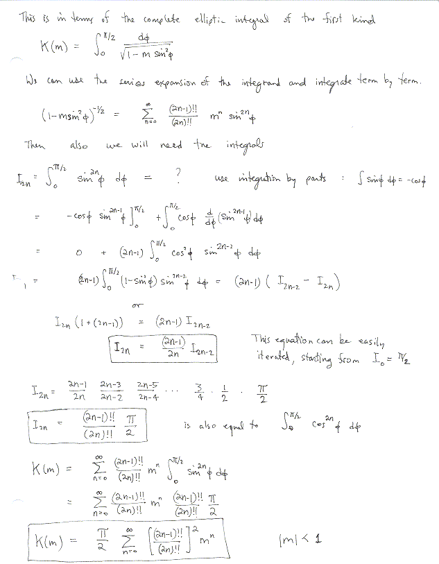
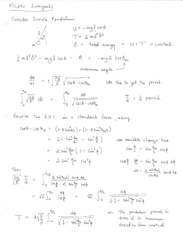
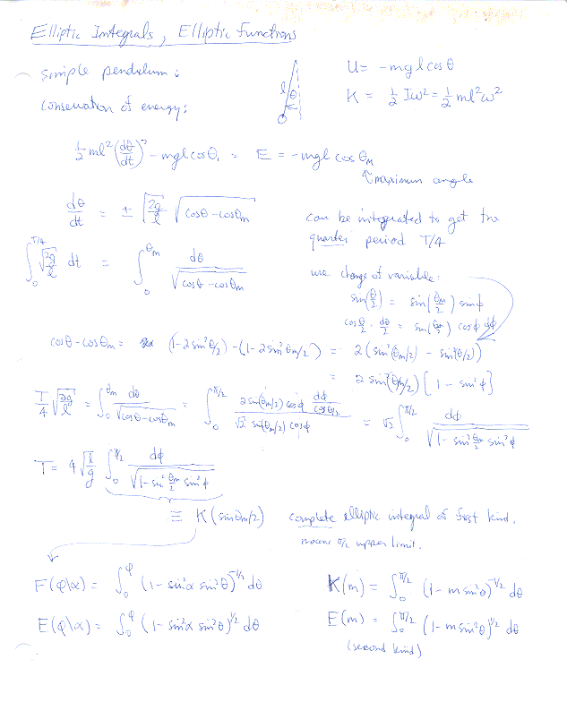
Elliptical Integrals and Functions