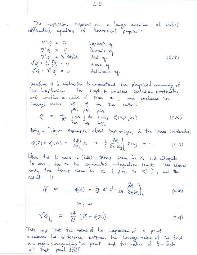
Differential Operators on Scalar and Vector Fields
and Introduction to Curvilinear Coordinates