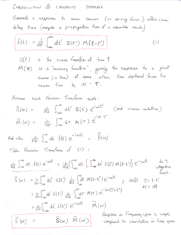
Fourier Transforms: Convolution and Causality