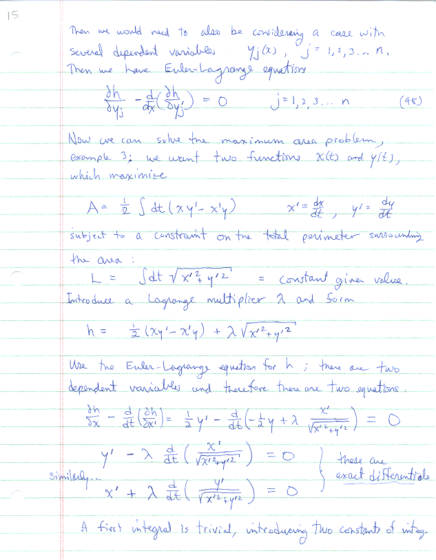
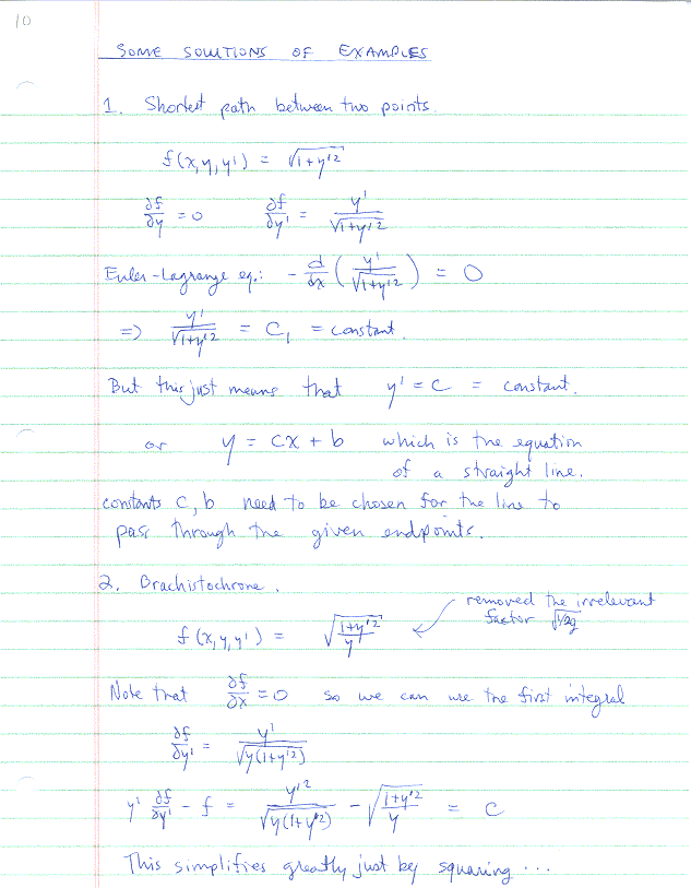
Several Dependent Variables, Solutions of the Famous Problems, Global and Local Constraints