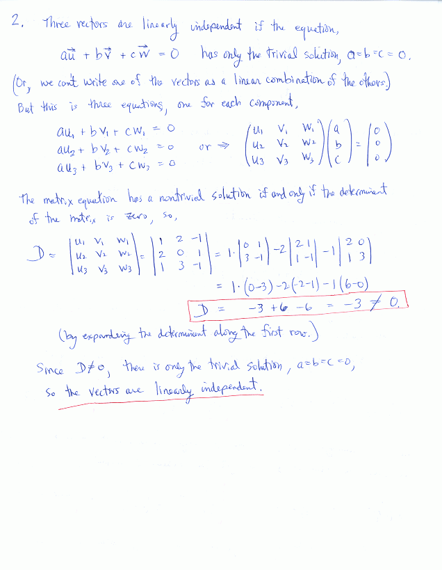
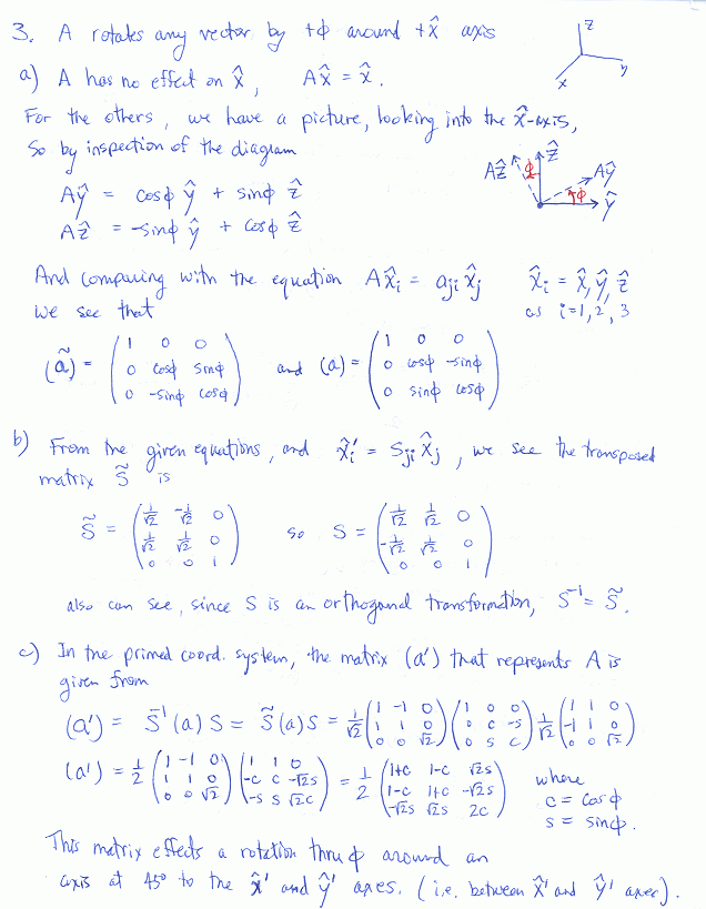
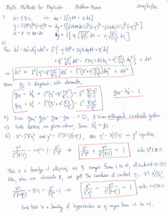
Midterm Solution: