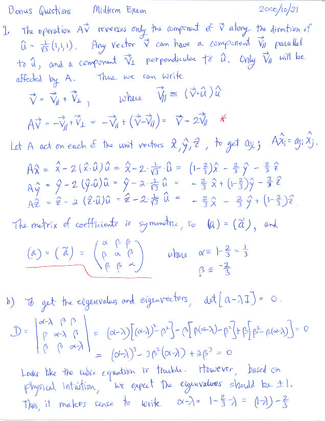
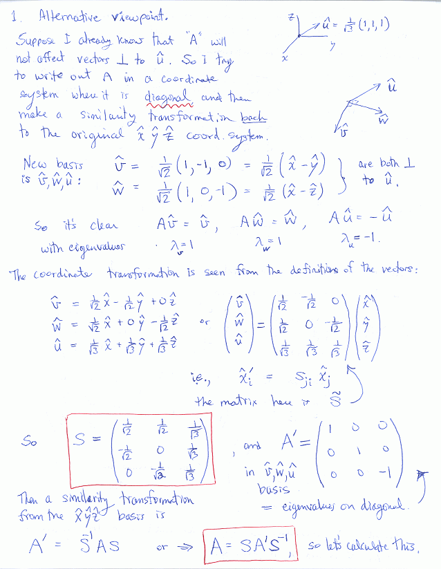
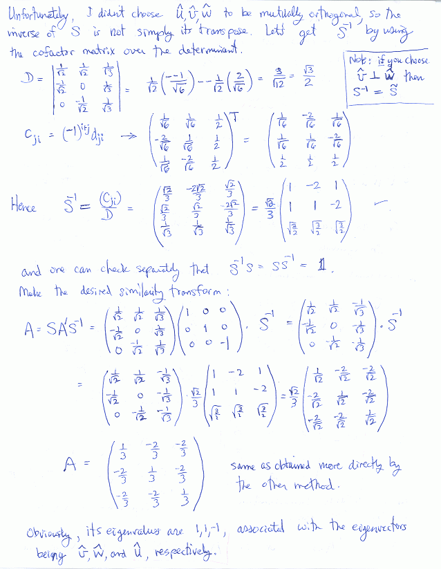
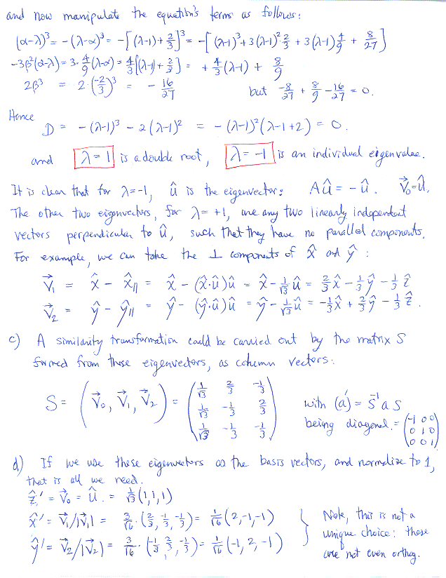
Bonus problem 1 solution