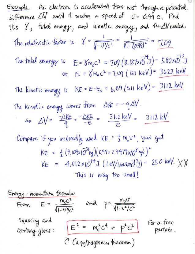
Einstein's Special Relativity: Length Contraction; Mass & Energy