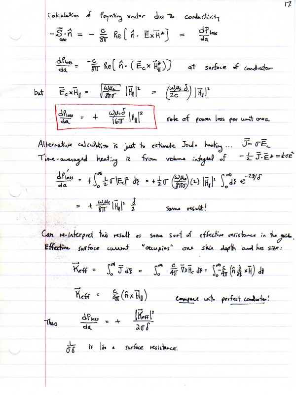
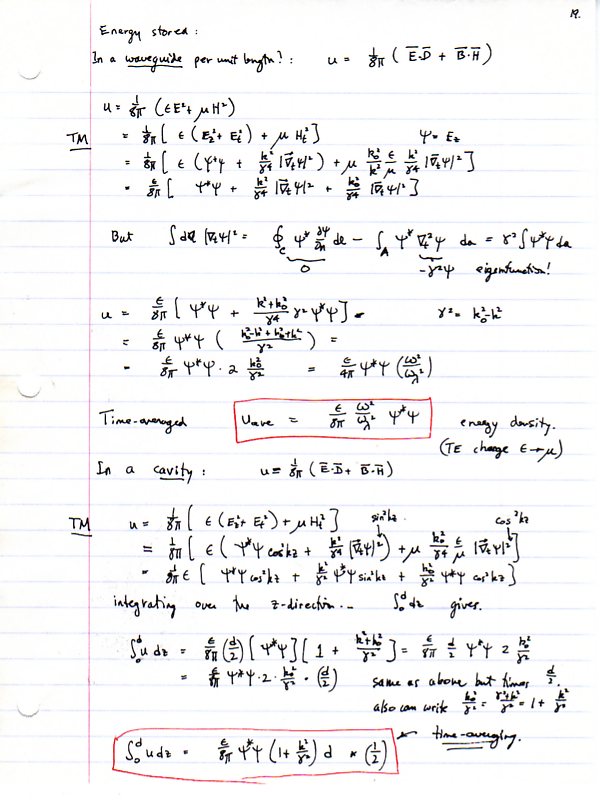
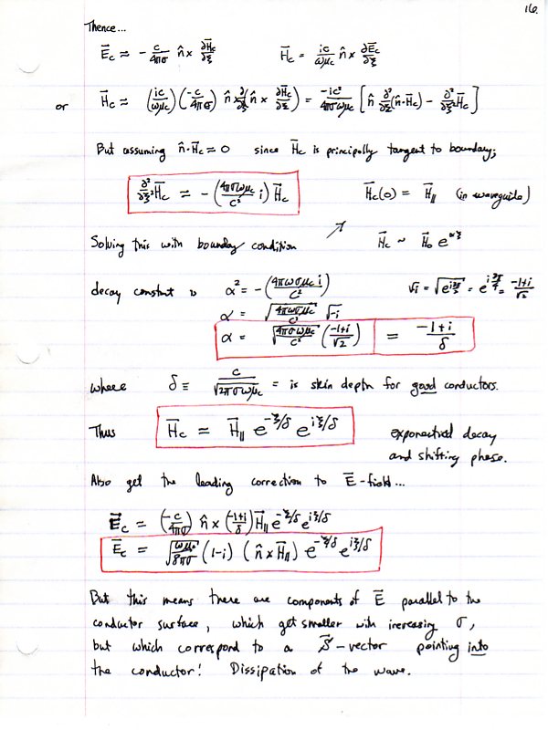
Guided Waves (Jackson, Ch. 8, CGS)
Damping of Modes in Waveguides and Cavities