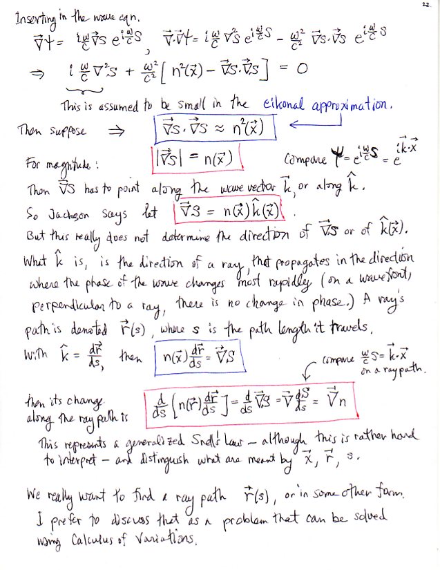
Guided Waves (Jackson, Ch. 8, SI)
Dielectric Wave Guides: Multimode Fiber Ray Optics