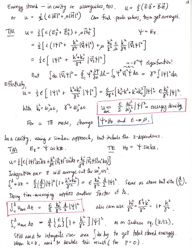
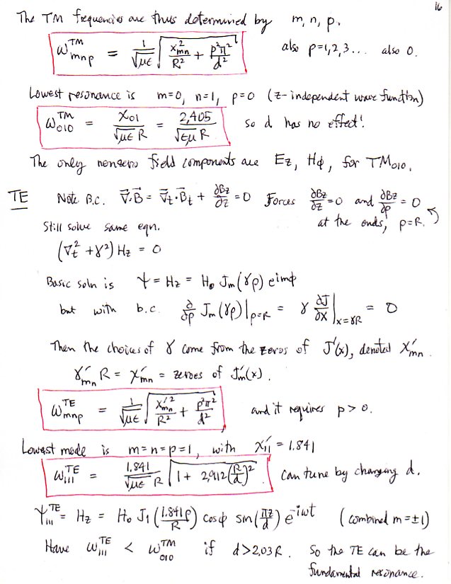
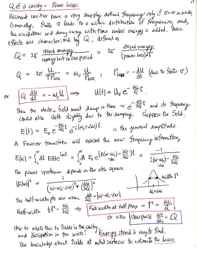
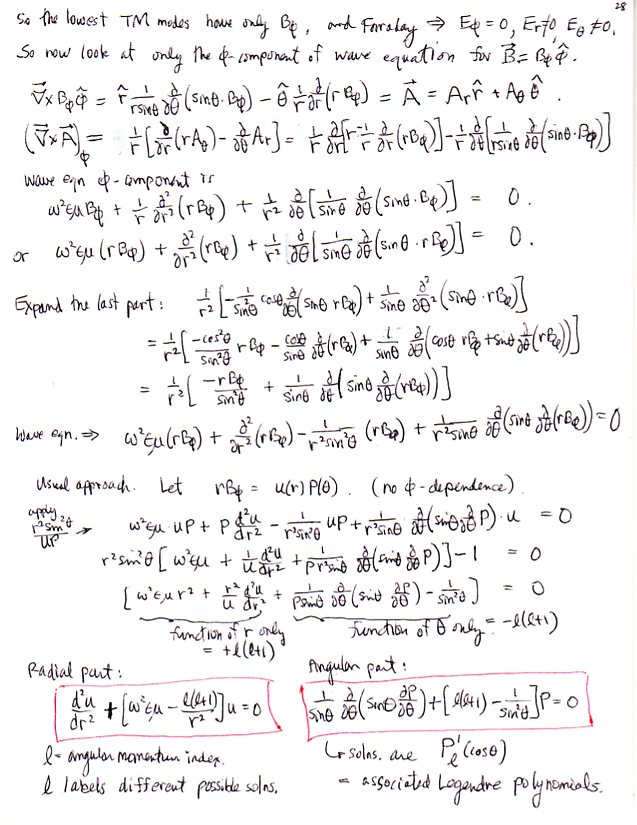
Guided Waves (Jackson, Ch. 8, SI)
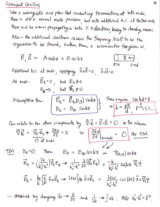
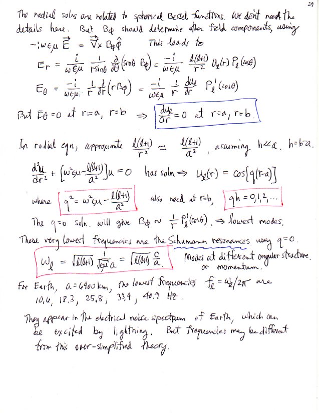
Modes in Resonant Cavities, Damping; Schumann Resonances of Earth