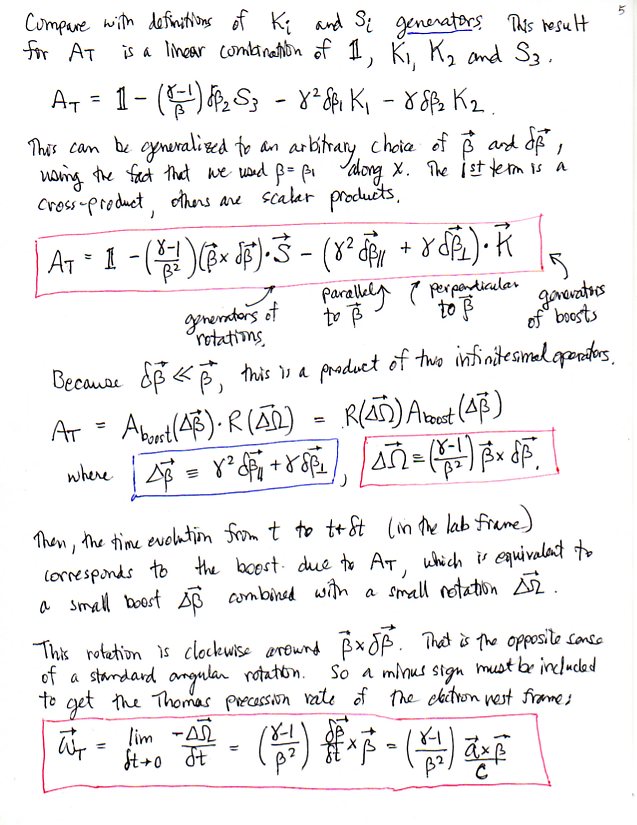
Special Theory of Relativity (Jackson, Ch. 11)
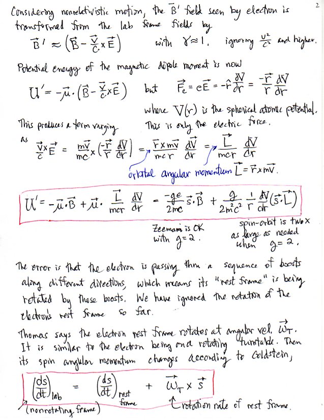
Thomas Precession