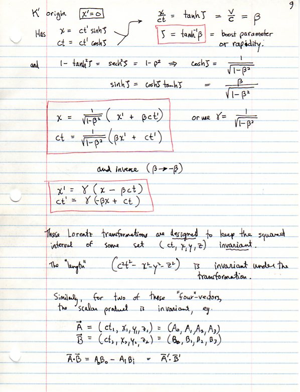
Special Theory of Relativity (Jackson, Ch. 11)
Lorentz Space-Time Transformations of Length, Time, Velocity, Energy, Momentum.