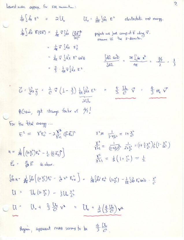
Radiation Reaction Effects (Jackson, Ch. 16)
Abraham-Lorentz Discussion of Self-Force