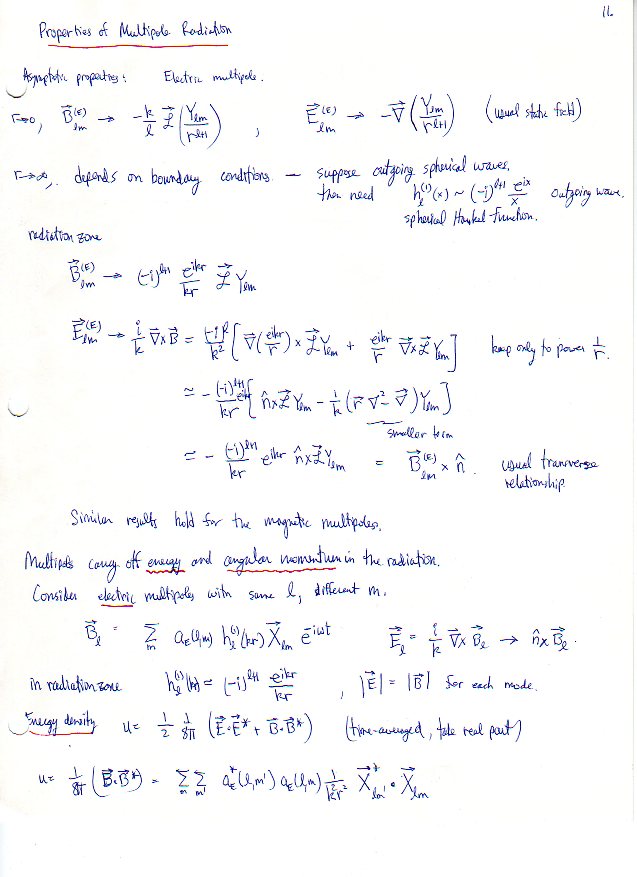
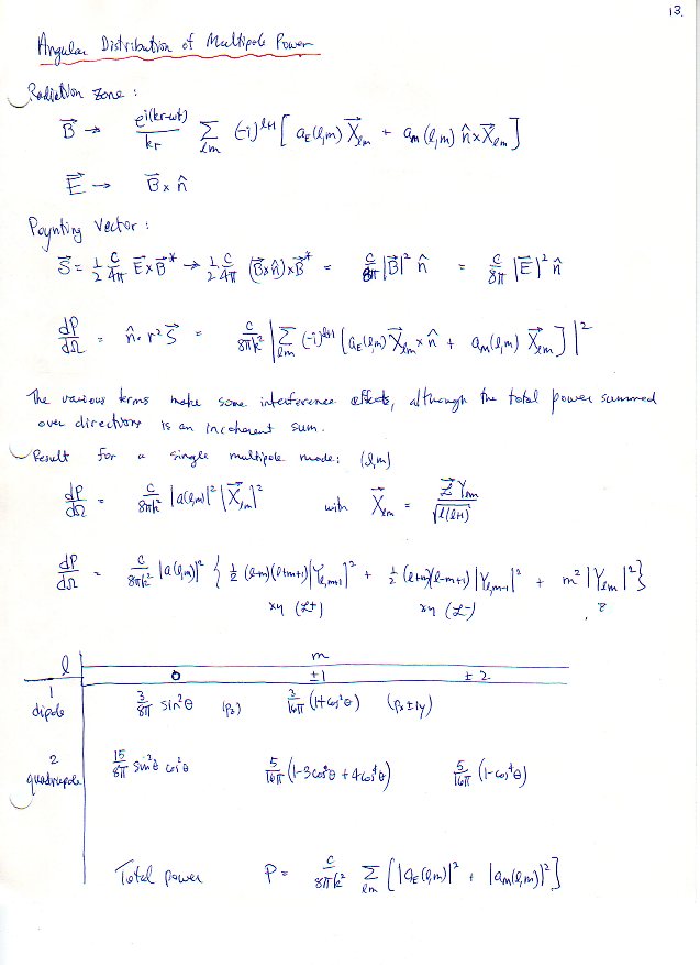
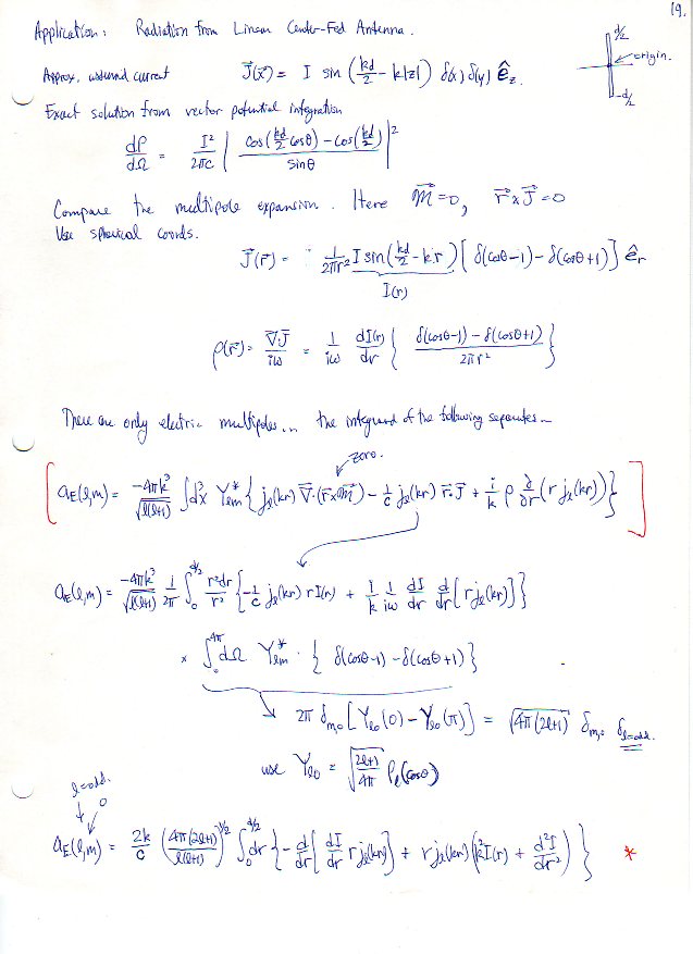
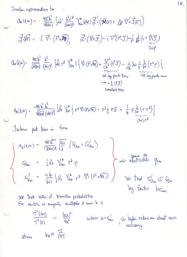
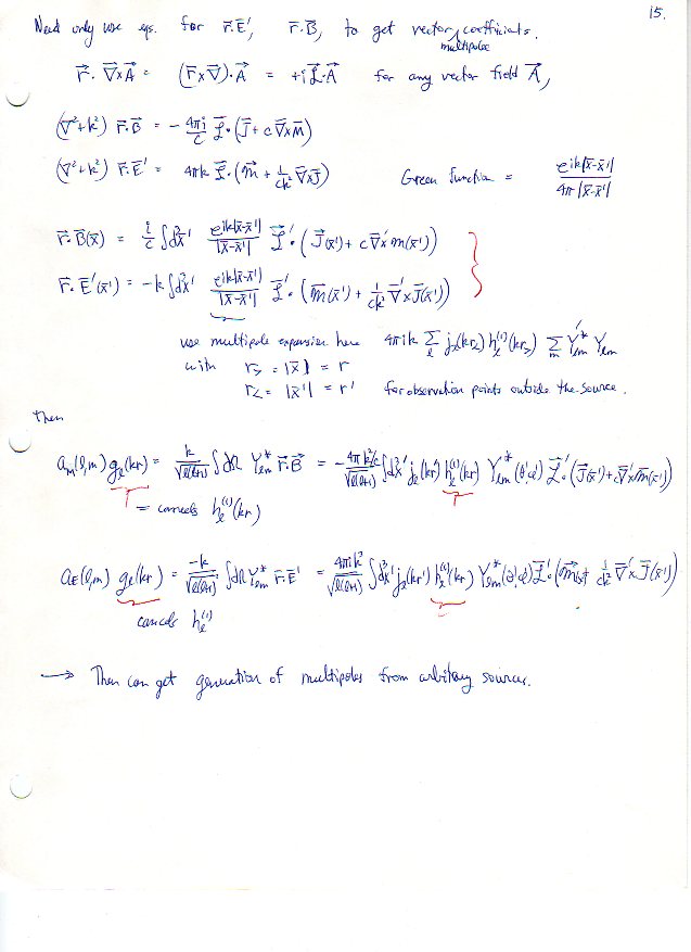
Electromagnetic Radiation and Multipoles (Jackson, Ch. 9)
Multipole Expansion of Vector Electromagnetic Fields -- CGS