Electromagnetic Radiation and Multipoles (Jackson, Ch. 9)
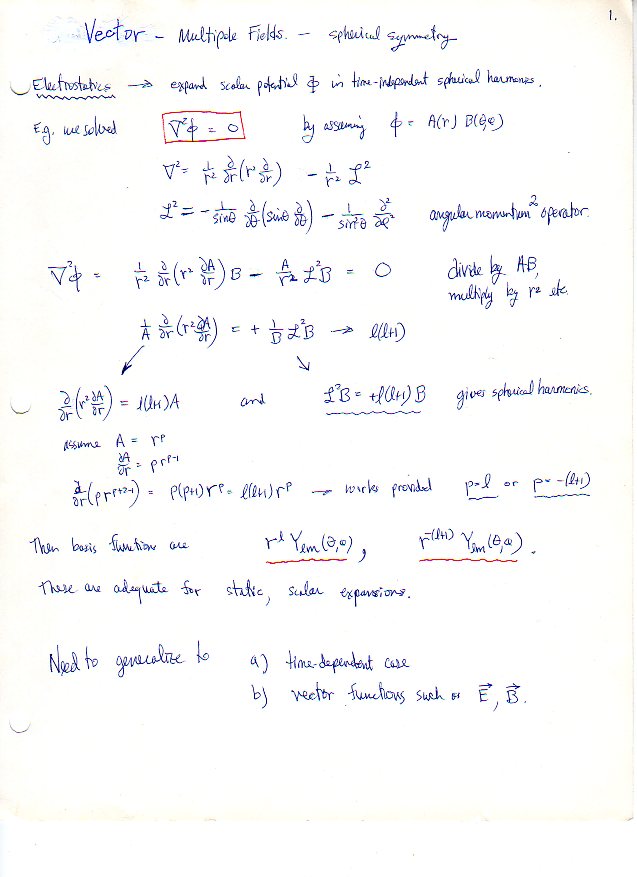
Vector Multipole Fields -- Helmholtz Eqn. and Angular Momentum.